Last updated: 2020-09-04
Checks: 6 1
Knit directory: BH3profiling/analysis/
This reproducible R Markdown analysis was created with workflowr (version 1.6.2). The Checks tab describes the reproducibility checks that were applied when the results were created. The Past versions tab lists the development history.
The R Markdown is untracked by Git. To know which version of the R Markdown file created these results, you'll want to first commit it to the Git repo. If you're still working on the analysis, you can ignore this warning. When you're finished, you can run wflow_publish to commit the R Markdown file and build the HTML.
Great job! The global environment was empty. Objects defined in the global environment can affect the analysis in your R Markdown file in unknown ways. For reproduciblity it's best to always run the code in an empty environment.
The command set.seed(20200826) was run prior to running the code in the R Markdown file. Setting a seed ensures that any results that rely on randomness, e.g. subsampling or permutations, are reproducible.
Great job! Recording the operating system, R version, and package versions is critical for reproducibility.
Nice! There were no cached chunks for this analysis, so you can be confident that you successfully produced the results during this run.
Great job! Using relative paths to the files within your workflowr project makes it easier to run your code on other machines.
Great! You are using Git for version control. Tracking code development and connecting the code version to the results is critical for reproducibility.
The results in this page were generated with repository version 90ada8f. See the Past versions tab to see a history of the changes made to the R Markdown and HTML files.
Note that you need to be careful to ensure that all relevant files for the analysis have been committed to Git prior to generating the results (you can use wflow_publish or wflow_git_commit). workflowr only checks the R Markdown file, but you know if there are other scripts or data files that it depends on. Below is the status of the Git repository when the results were generated:
Ignored files:
Ignored: .DS_Store
Ignored: .Rhistory
Ignored: .Rproj.user/
Ignored: analysis/.DS_Store
Ignored: analysis/.Rhistory
Ignored: analysis/drugResponse_baseBH3_analysis_cache/
Ignored: analysis/landscape_baseBH3_analysis_AUC_cache/
Ignored: analysis/landscape_baseBH3_analysis_cache/
Ignored: data/.DS_Store
Ignored: output/.DS_Store
Untracked files:
Untracked: analysis/Annexin_rawInput.Rmd
Untracked: analysis/BH3baseline_rawInput.Rmd
Untracked: analysis/BH3dynamic_rawInput.Rmd
Untracked: analysis/based_pep_var.pdf
Untracked: analysis/compareBaseline.Rmd
Untracked: analysis/compareBaseline.pdf
Untracked: analysis/deprecated/
Untracked: analysis/drugResponse_baseBH3_analysis.Rmd
Untracked: analysis/drugResponse_baseBH3_analysis_AUC.Rmd
Untracked: analysis/landscape_baseBH3_analysis.Rmd
Untracked: analysis/landscape_baseBH3_analysis_AUC.Rmd
Untracked: analysis/patBack.csv
Untracked: analysis/platePlot.pdf
Untracked: analysis/platePlot_dynamic.pdf
Untracked: analysis/predictOutcomes.Rmd
Untracked: code/utils.R
Untracked: data/Data for Thorsten .xlsx
Untracked: data/Raw data Baseline for Junyan.xlsx
Untracked: data/Raw data DBP for Junyan.xlsx
Untracked: data/T. Zenz data for Junyan.xlsx
Untracked: data/Zenz Project overview cell counts etc.xlsx
Untracked: data/commonFiles/
Untracked: output/baseBH3.RData
Untracked: output/dataAnnexin.RData
Untracked: output/dynamicBH3.RData
Unstaged changes:
Modified: _workflowr.yml
Modified: analysis/_site.yml
Deleted: analysis/about.Rmd
Modified: analysis/index.Rmd
Deleted: analysis/license.Rmd
Note that any generated files, e.g. HTML, png, CSS, etc., are not included in this status report because it is ok for generated content to have uncommitted changes.
There are no past versions. Publish this analysis with wflow_publish() to start tracking its development.
Load
Use baseline level from DBP profiling
Prepare sample background annotations
[1] 56


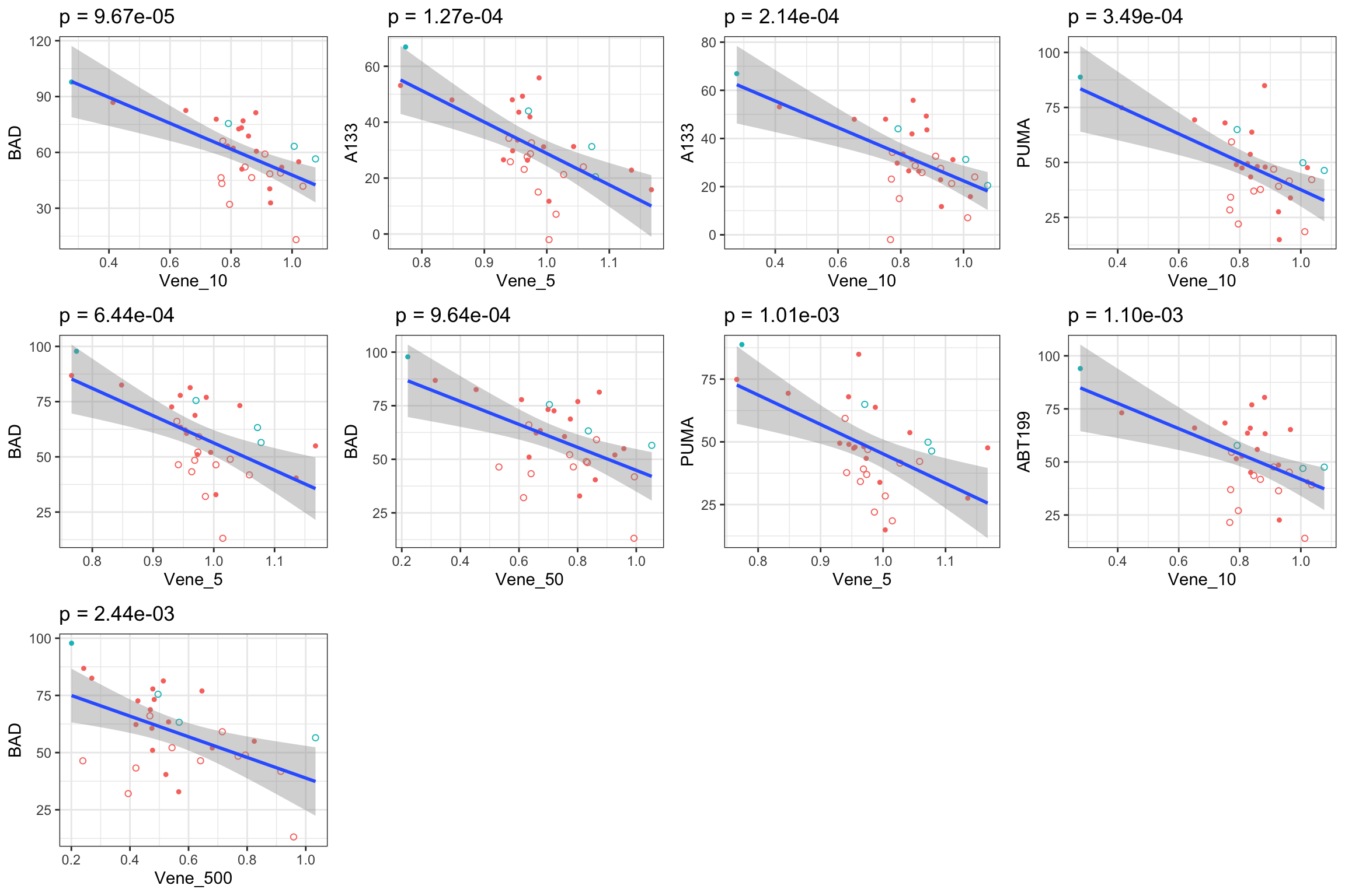
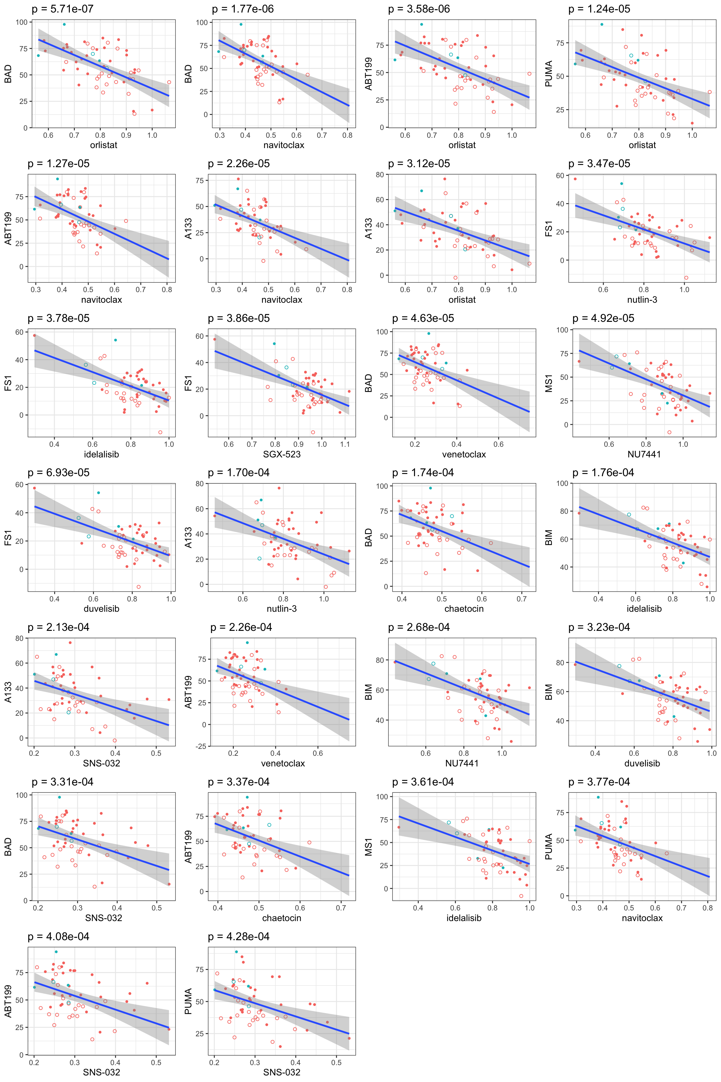
If multiple concentrations are identified as significant, only show the most significant concentration.
x-axis is the cell viability after drug treatment, so higher values mean higher drug resistance
[1] 64
[1] 9 64


If multiple concentrations are identified as significant, only show the most significant concentration.
x-axis is the cell viability after drug treatment, so higher values mean higher drug resistance
[1] 9 31
If multiple concentrations are identified as significant, only show the most significant concentration. 


If multiple concentrations are identified as significant, only show the most significant concentration. 


If multiple concentrations are identified as significant, only show the most significant concentration. 


If multiple concentrations are identified as significant, only show the most significant concentration. 


If multiple concentrations are identified as significant, only show the most significant concentration.
Higher CI value means more synergy in drug combinations

If multiple concentrations are identified as significant, only show the most significant concentration. 
Test whether the BH3 profile can explain additional variance in drug response compared to genetic alone
[1] 56
Prepare genomics
Genes that will be included in the multivariate model
[1] "IGHV.status" "del11q" "del13q" "del14q" "del17p"
[6] "trisomy12" "ATM" "NOTCH1" "SF3B1" "TP53"
# A tibble: 8 x 2
feature drugNumber
<chr> <int>
1 FS1 13
2 A133 12
3 MS1 10
4 BIM 5
5 ABT199 4
6 BAD 4
7 HRKy 3
8 PUMA 3
[1] 64
Prepare genomics
Genes that will be included in the multivariate model
[1] "IGHV.status" "del11q" "del13q" "del17p" "trisomy12"
[6] "ATM" "NOTCH1" "SF3B1" "TP53"
# A tibble: 6 x 2
feature drugNumber
<chr> <int>
1 BIM 10
2 FS1 9
3 MS1 4
4 PUMA 4
5 A133 3
6 BAD 1
BH3 profiling
Drug responses
RNAseq
For genomic data
Function to Generate the explanatory dataset for each drug response
Clean and integrate multi-omics data
Function for multi-variate regression
Perform lasso regression
Function for plotting variance explained for each measurement 
# A tibble: 11 x 5
drug `genetic(13)` `BH3(9)` `expression(20)` `all(42)`
<chr> <dbl> <dbl> <dbl> <dbl>
1 Duvelisib 0.0969 0.401 0.157 0.522
2 Foretinib 0.0873 0.323 0.178 0.439
3 SB-203580 0.123 0.246 0.00730 0.458
4 Idelalisib 0.153 0.245 0.156 0.245
5 Selisistat 0.127 0.209 0.0321 0.135
6 Quizartinib 0.00369 0.164 0 0
7 Cisplatin 0 0.157 0.00333 0.147
8 BML-277 0.00264 0.152 0.0176 0.244
9 D4476 0 0.147 0.108 0.147
10 MI-503 0 0.132 0 0.0725
11 TW-37 0.0187 0.106 0.0109 0.0627
Prepare clean data for feature selection
Perform lasso regression
Function for the heatmap plot
Plot all heatmaps

BH3 profiling
Drug responses
RNAseq
For genomic data
Clean and integrate multi-omics data
Perform lasso regression

# A tibble: 7 x 5
drug `genetic(12)` `BH3(9)` `expression(20)` `all(41)`
<chr> <dbl> <dbl> <dbl> <dbl>
1 venetoclax 0.0752 0.444 0.308 0.618
2 selumetinib 0.184 0.337 0.146 0.444
3 SNS-032 0.189 0.292 0.154 0.538
4 rigosertib 0.131 0.252 0 0.0626
5 silmitasertib 0.172 0.209 0.0230 0.185
6 KX2-391 0.122 0.196 0.128 0.466
7 vorinostat 0.00329 0.112 0.0930 0.168
Prepare clean data for feature selection
Perform lasso regression
Plot all heatmaps

R version 3.6.0 (2019-04-26)
Platform: x86_64-apple-darwin15.6.0 (64-bit)
Running under: macOS 10.15.6
Matrix products: default
BLAS: /Library/Frameworks/R.framework/Versions/3.6/Resources/lib/libRblas.0.dylib
LAPACK: /Library/Frameworks/R.framework/Versions/3.6/Resources/lib/libRlapack.dylib
locale:
[1] en_US.UTF-8/en_US.UTF-8/en_US.UTF-8/C/en_US.UTF-8/en_US.UTF-8
attached base packages:
[1] parallel stats4 stats graphics grDevices utils datasets
[8] methods base
other attached packages:
[1] gtable_0.3.0 glmnet_4.0-2
[3] Matrix_1.2-18 DESeq2_1.26.0
[5] latex2exp_0.4.0 forcats_0.5.0
[7] stringr_1.4.0 dplyr_1.0.0
[9] purrr_0.3.4 readr_1.3.1
[11] tidyr_1.1.0 tibble_3.0.3
[13] ggplot2_3.3.2 tidyverse_1.3.0
[15] SummarizedExperiment_1.16.1 DelayedArray_0.12.3
[17] BiocParallel_1.20.1 matrixStats_0.56.0
[19] Biobase_2.46.0 GenomicRanges_1.38.0
[21] GenomeInfoDb_1.22.1 IRanges_2.20.2
[23] S4Vectors_0.24.4 BiocGenerics_0.32.0
[25] IHW_1.14.0 limma_3.42.2
[27] cowplot_1.0.0 qgraph_1.6.5
[29] jyluMisc_0.1.5
loaded via a namespace (and not attached):
[1] utf8_1.1.4 shinydashboard_0.7.1 tidyselect_1.1.0
[4] RSQLite_2.2.0 AnnotationDbi_1.48.0 htmlwidgets_1.5.1
[7] grid_3.6.0 maxstat_0.7-25 munsell_0.5.0
[10] codetools_0.2-16 DT_0.14 withr_2.2.0
[13] colorspace_1.4-1 knitr_1.29 rstudioapi_0.11
[16] ggsignif_0.6.0 labeling_0.3 huge_1.3.4.1
[19] git2r_0.27.1 slam_0.1-47 GenomeInfoDbData_1.2.2
[22] lpsymphony_1.14.0 mnormt_1.5-5 KMsurv_0.1-5
[25] bit64_0.9-7 farver_2.0.3 rprojroot_1.3-2
[28] vctrs_0.3.1 generics_0.0.2 TH.data_1.0-10
[31] xfun_0.15 sets_1.0-18 R6_2.4.1
[34] locfit_1.5-9.4 bitops_1.0-6 fgsea_1.12.0
[37] assertthat_0.2.1 promises_1.1.1 scales_1.1.1
[40] multcomp_1.4-13 nnet_7.3-14 sandwich_2.5-1
[43] workflowr_1.6.2 rlang_0.4.7 genefilter_1.68.0
[46] splines_3.6.0 rstatix_0.6.0 acepack_1.4.1
[49] broom_0.7.0 checkmate_2.0.0 yaml_2.2.1
[52] reshape2_1.4.4 abind_1.4-5 modelr_0.1.8
[55] crosstalk_1.1.0.1 d3Network_0.5.2.1 backports_1.1.8
[58] httpuv_1.5.4 Hmisc_4.4-0 tools_3.6.0
[61] relations_0.6-9 psych_1.9.12.31 lavaan_0.6-6
[64] ellipsis_0.3.1 gplots_3.0.4 RColorBrewer_1.1-2
[67] Rcpp_1.0.5 plyr_1.8.6 base64enc_0.1-3
[70] visNetwork_2.0.9 zlibbioc_1.32.0 RCurl_1.98-1.2
[73] ggpubr_0.4.0 rpart_4.1-15 pbapply_1.4-2
[76] zoo_1.8-8 haven_2.3.1 cluster_2.1.0
[79] exactRankTests_0.8-31 fs_1.4.2 magrittr_1.5
[82] data.table_1.12.8 openxlsx_4.1.5 reprex_0.3.0
[85] survminer_0.4.7 mvtnorm_1.1-1 whisker_0.4
[88] hms_0.5.3 shinyjs_1.1 mime_0.9
[91] evaluate_0.14 xtable_1.8-4 XML_3.98-1.20
[94] rio_0.5.16 jpeg_0.1-8.1 readxl_1.3.1
[97] shape_1.4.4 gridExtra_2.3 compiler_3.6.0
[100] mice_3.11.0 KernSmooth_2.23-17 crayon_1.3.4
[103] htmltools_0.5.0 mgcv_1.8-31 corpcor_1.6.9
[106] later_1.1.0.1 Formula_1.2-3 geneplotter_1.64.0
[109] lubridate_1.7.9 DBI_1.1.0 dbplyr_1.4.4
[112] MASS_7.3-51.6 car_3.0-8 cli_2.0.2
[115] marray_1.64.0 gdata_2.18.0 igraph_1.2.5
[118] BDgraph_2.62 pkgconfig_2.0.3 km.ci_0.5-2
[121] foreign_0.8-71 piano_2.2.0 foreach_1.5.0
[124] xml2_1.3.2 annotate_1.64.0 pbivnorm_0.6.0
[127] XVector_0.26.0 drc_3.0-1 rvest_0.3.5
[130] digest_0.6.25 rmarkdown_2.3 cellranger_1.1.0
[133] fastmatch_1.1-0 survMisc_0.5.5 htmlTable_2.0.1
[136] curl_4.3 shiny_1.5.0 gtools_3.8.2
[139] rjson_0.2.20 lifecycle_0.2.0 nlme_3.1-148
[142] glasso_1.11 jsonlite_1.7.0 carData_3.0-4
[145] fansi_0.4.1 pillar_1.4.6 lattice_0.20-41
[148] fastmap_1.0.1 httr_1.4.1 plotrix_3.7-8
[151] survival_3.2-3 glue_1.4.1 zip_2.0.4
[154] fdrtool_1.2.15 iterators_1.0.12 png_0.1-7
[157] bit_1.1-15.2 stringi_1.4.6 blob_1.2.1
[160] memoise_1.1.0 latticeExtra_0.6-29 caTools_1.18.0