Last updated: 2022-07-07
Checks: 5 2
Knit directory: BH3profiling/analysis/
This reproducible R Markdown analysis was created with workflowr (version 1.7.0). The Checks tab describes the reproducibility checks that were applied when the results were created. The Past versions tab lists the development history.
The R Markdown is untracked by Git. To know which version of the R
Markdown file created these results, you’ll want to first commit it to
the Git repo. If you’re still working on the analysis, you can ignore
this warning. When you’re finished, you can run
wflow_publish to commit the R Markdown file and build the
HTML.
Great job! The global environment was empty. Objects defined in the global environment can affect the analysis in your R Markdown file in unknown ways. For reproduciblity it’s best to always run the code in an empty environment.
The command set.seed(20200826) was run prior to running
the code in the R Markdown file. Setting a seed ensures that any results
that rely on randomness, e.g. subsampling or permutations, are
reproducible.
Great job! Recording the operating system, R version, and package versions is critical for reproducibility.
To ensure reproducibility of the results, delete the cache directory
manuscript_drugResponses_cache and re-run the analysis. To
have workflowr automatically delete the cache directory prior to
building the file, set delete_cache = TRUE when running
wflow_build() or wflow_publish().
Great job! Using relative paths to the files within your workflowr project makes it easier to run your code on other machines.
Great! You are using Git for version control. Tracking code development and connecting the code version to the results is critical for reproducibility.
The results in this page were generated with repository version 90ada8f. See the Past versions tab to see a history of the changes made to the R Markdown and HTML files.
Note that you need to be careful to ensure that all relevant files for
the analysis have been committed to Git prior to generating the results
(you can use wflow_publish or
wflow_git_commit). workflowr only checks the R Markdown
file, but you know if there are other scripts or data files that it
depends on. Below is the status of the Git repository when the results
were generated:
Ignored files:
Ignored: .DS_Store
Ignored: .Rhistory
Ignored: .Rproj.user/
Ignored: analysis/.DS_Store
Ignored: analysis/.Rhistory
Ignored: analysis/manuscript_drugResponses_cache/
Ignored: analysis/manuscript_overview_cache/
Ignored: data/.DS_Store
Ignored: data/.Rapp.history
Ignored: output/.DS_Store
Untracked files:
Untracked: analysis/Annexin_rawInput.Rmd
Untracked: analysis/BH3_PCA.csv
Untracked: analysis/BH3baseline_analysis_fromBase.Rmd
Untracked: analysis/BH3baseline_analysis_fromDBP.Rmd
Untracked: analysis/BH3baseline_rawInput.Rmd
Untracked: analysis/BH3dynamic_rawInput.Rmd
Untracked: analysis/analysisVenetoclax.Rmd
Untracked: analysis/based_pep_var.pdf
Untracked: analysis/clinialTrial_analysis.Rmd
Untracked: analysis/compareBaseline.Rmd
Untracked: analysis/compareBaseline.pdf
Untracked: analysis/deprecated/
Untracked: analysis/drugResponse_baseBH3_analysis.Rmd
Untracked: analysis/drugResponse_baseBH3_analysis_AUC copy.Rmd
Untracked: analysis/drugResponse_baseBH3_analysis_AUC.Rmd
Untracked: analysis/dynamicBH3_analysis.Rmd
Untracked: analysis/dynamicBH3_analysis_AUC.Rmd
Untracked: analysis/landscape_baseBH3_analysis.Rmd
Untracked: analysis/landscape_baseBH3_analysis_AUC.Rmd
Untracked: analysis/landscape_baseBH3_fromBase_analysis_AUC.Rmd
Untracked: analysis/manuscript_clinicalAnalysis.Rmd
Untracked: analysis/manuscript_drugResponses.Rmd
Untracked: analysis/manuscript_dynamicBH3.Rmd
Untracked: analysis/manuscript_dynamicBH3_old.Rmd
Untracked: analysis/manuscript_overview.Rmd
Untracked: analysis/manuscript_overview_fromBaseBH3.Rmd
Untracked: analysis/manuscript_overview_singleConc.Rmd
Untracked: analysis/outcome_baseBH3_analysis.Rmd
Untracked: analysis/outcome_baseBH3_analysis_AUC.Rmd
Untracked: analysis/patBack.csv
Untracked: analysis/platePlot.pdf
Untracked: analysis/platePlot_dynamic.pdf
Untracked: analysis/predictOutcomes.Rmd
Untracked: analysis/pretreatment_effect_estiamtion.csv
Untracked: analysis/tableS1_sampleSummary.csv
Untracked: analysis/venePair_auc.pdf
Untracked: analysis/venePair_auc_norm.pdf
Untracked: analysis/venePair_auc_raw.pdf
Untracked: analysis/venePair_con.pdf
Untracked: analysis/venePair_conc_unorm.pdf
Untracked: code/utils.R
Untracked: data/13092020 Patient Outcome Analysis - IBR plus FCR - for Junyan.xlsx
Untracked: data/Data for Thorsten .xlsx
Untracked: data/Raw data Baseline for Junyan.xlsx
Untracked: data/Raw data DBP for Junyan.xlsx
Untracked: data/T. Zenz data for Junyan.xlsx
Untracked: data/Zenz Project overview cell counts etc.xlsx
Untracked: data/commonFiles/
Untracked: data/venetoclax_coculture.rds
Untracked: figures/
Untracked: manuscript/
Untracked: output/baseBH3.RData
Untracked: output/dataAnnexin.RData
Untracked: output/dynamicBH3.RData
Unstaged changes:
Modified: _workflowr.yml
Modified: analysis/_site.yml
Deleted: analysis/about.Rmd
Modified: analysis/index.Rmd
Deleted: analysis/license.Rmd
Note that any generated files, e.g. HTML, png, CSS, etc., are not included in this status report because it is ok for generated content to have uncommitted changes.
There are no past versions. Publish this analysis with
wflow_publish() to start tracking its development.
Use baseline level from DBP profiling
Prepare sample background annotations
Drug resposne data (IC50 screen)
[1] 52

Prepare genomics
Genes that will be included in the multivariate model
[1] "IGHV.status" "del11q" "del13q" "del17p" "trisomy12"
[6] "NOTCH1" "SF3B1" "TP53"




BH3 profiling
Drug responses
For genomic data
Clean and integrate multi-omics data
Perform lasso regression
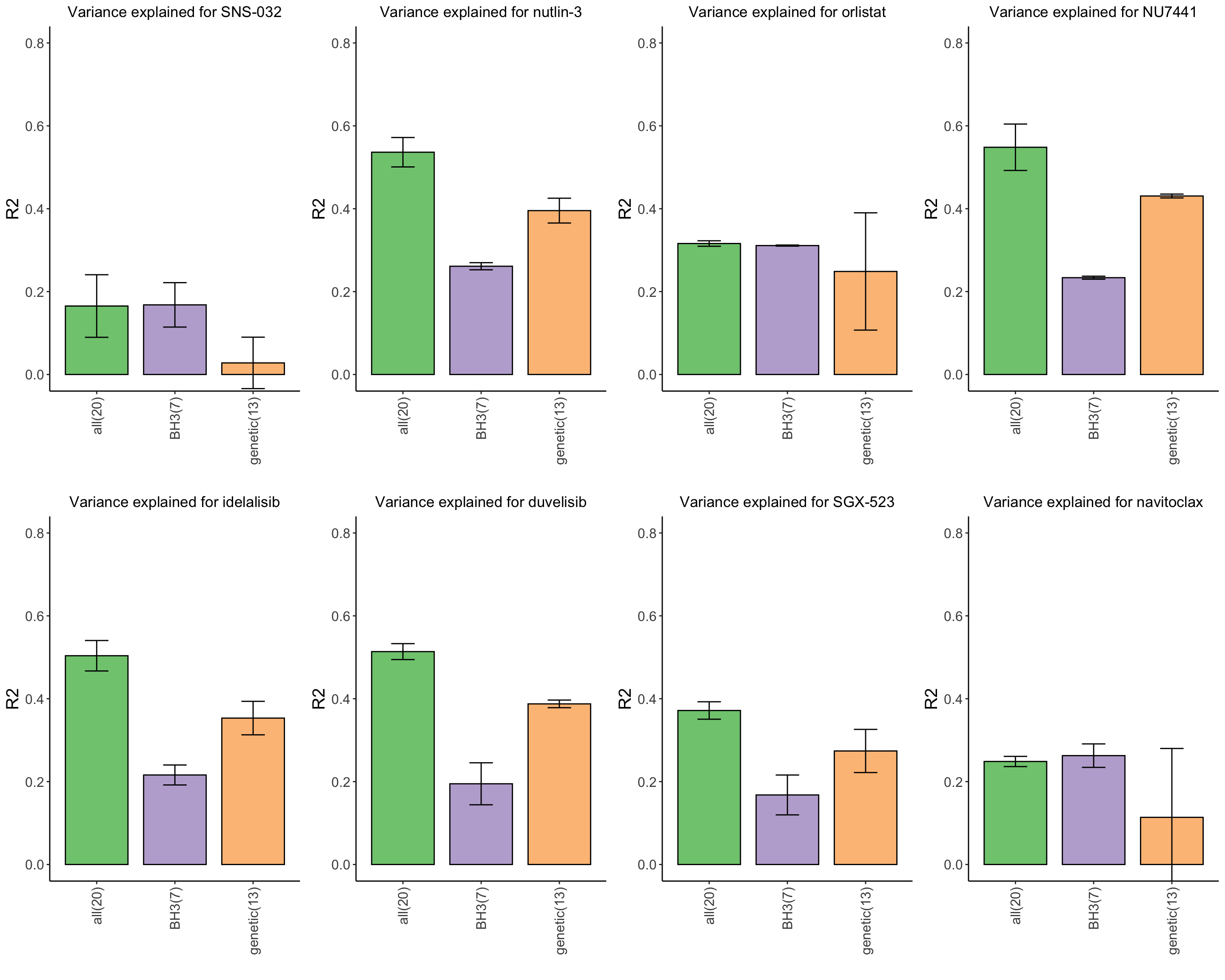
Function for plotting variance explained for each measurement

Plot all heatmaps

[1] 52

[1] 52

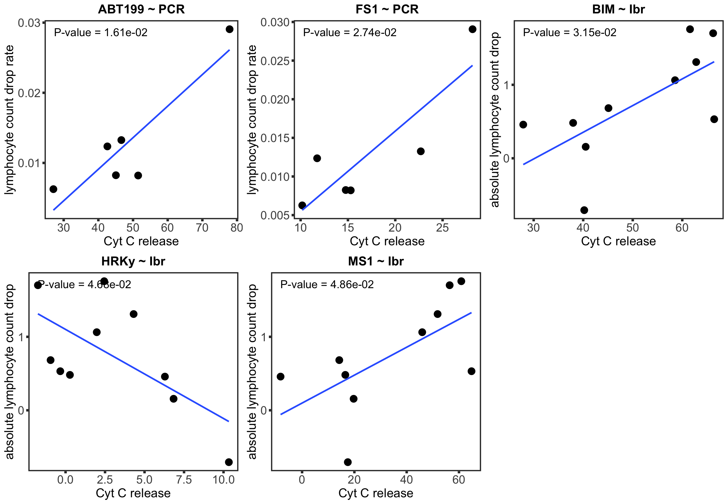
If multiple concentrations are identified as significant, only show
the most significant concentration.

R version 4.2.0 (2022-04-22)
Platform: x86_64-apple-darwin17.0 (64-bit)
Running under: macOS Big Sur/Monterey 10.16
Matrix products: default
BLAS: /Library/Frameworks/R.framework/Versions/4.2/Resources/lib/libRblas.0.dylib
LAPACK: /Library/Frameworks/R.framework/Versions/4.2/Resources/lib/libRlapack.dylib
locale:
[1] en_US.UTF-8/en_US.UTF-8/en_US.UTF-8/C/en_US.UTF-8/en_US.UTF-8
attached base packages:
[1] stats4 stats graphics grDevices utils datasets methods
[8] base
other attached packages:
[1] gtable_0.3.0 latex2exp_0.9.4
[3] forcats_0.5.1 stringr_1.4.0
[5] dplyr_1.0.9 purrr_0.3.4
[7] readr_2.1.2 tidyr_1.2.0
[9] tibble_3.1.7 tidyverse_1.3.1
[11] SummarizedExperiment_1.26.1 Biobase_2.56.0
[13] GenomicRanges_1.48.0 GenomeInfoDb_1.32.2
[15] IRanges_2.30.0 S4Vectors_0.34.0
[17] BiocGenerics_0.42.0 MatrixGenerics_1.8.0
[19] matrixStats_0.62.0 igraph_1.3.2
[21] ggraph_2.0.5 ggplot2_3.3.6
[23] tidygraph_1.2.1 limma_3.52.2
[25] cowplot_1.1.1 qgraph_1.9.2
[27] jyluMisc_0.1.5
loaded via a namespace (and not attached):
[1] utf8_1.2.2 shinydashboard_0.7.2 tidyselect_1.1.2
[4] htmlwidgets_1.5.4 grid_4.2.0 BiocParallel_1.30.3
[7] maxstat_0.7-25 munsell_0.5.0 codetools_0.2-18
[10] DT_0.23 withr_2.5.0 colorspace_2.0-3
[13] highr_0.9 knitr_1.39 rstudioapi_0.13
[16] ggsignif_0.6.3 labeling_0.4.2 git2r_0.30.1
[19] slam_0.1-50 GenomeInfoDbData_1.2.8 mnormt_2.1.0
[22] KMsurv_0.1-5 polyclip_1.10-0 farver_2.1.0
[25] rprojroot_2.0.3 vctrs_0.4.1 generics_0.1.2
[28] TH.data_1.1-1 xfun_0.31 sets_1.0-21
[31] R6_2.5.1 graphlayouts_0.8.0 bitops_1.0-7
[34] fgsea_1.22.0 DelayedArray_0.22.0 assertthat_0.2.1
[37] promises_1.2.0.1 scales_1.2.0 multcomp_1.4-19
[40] nnet_7.3-17 sandwich_3.0-2 workflowr_1.7.0
[43] rlang_1.0.2 splines_4.2.0 rstatix_0.7.0
[46] broom_0.8.0 checkmate_2.1.0 yaml_2.3.5
[49] reshape2_1.4.4 abind_1.4-5 modelr_0.1.8
[52] crosstalk_1.2.0 backports_1.4.1 httpuv_1.6.5
[55] Hmisc_4.7-0 tools_4.2.0 relations_0.6-12
[58] psych_2.2.5 lavaan_0.6-11 ellipsis_0.3.2
[61] gplots_3.1.3 jquerylib_0.1.4 RColorBrewer_1.1-3
[64] Rcpp_1.0.8.3 plyr_1.8.7 base64enc_0.1-3
[67] visNetwork_2.1.0 zlibbioc_1.42.0 RCurl_1.98-1.7
[70] ggpubr_0.4.0 rpart_4.1.16 pbapply_1.5-0
[73] viridis_0.6.2 zoo_1.8-10 haven_2.5.0
[76] ggrepel_0.9.1 cluster_2.1.3 exactRankTests_0.8-35
[79] fs_1.5.2 magrittr_2.0.3 data.table_1.14.2
[82] reprex_2.0.1 survminer_0.4.9 mvtnorm_1.1-3
[85] hms_1.1.1 shinyjs_2.1.0 mime_0.12
[88] evaluate_0.15 xtable_1.8-4 jpeg_0.1-9
[91] readxl_1.4.0 gridExtra_2.3 compiler_4.2.0
[94] KernSmooth_2.23-20 crayon_1.5.1 htmltools_0.5.2
[97] mgcv_1.8-40 corpcor_1.6.10 later_1.3.0
[100] tzdb_0.3.0 Formula_1.2-4 lubridate_1.8.0
[103] DBI_1.1.3 tweenr_1.0.2 dbplyr_2.2.0
[106] MASS_7.3-57 Matrix_1.4-1 car_3.1-0
[109] cli_3.3.0 marray_1.74.0 parallel_4.2.0
[112] pkgconfig_2.0.3 km.ci_0.5-6 foreign_0.8-82
[115] piano_2.12.0 xml2_1.3.3 pbivnorm_0.6.0
[118] bslib_0.3.1 XVector_0.36.0 drc_3.0-1
[121] rvest_1.0.2 digest_0.6.29 cellranger_1.1.0
[124] rmarkdown_2.14 fastmatch_1.1-3 survMisc_0.5.6
[127] htmlTable_2.4.0 shiny_1.7.1 gtools_3.9.2.2
[130] lifecycle_1.0.1 nlme_3.1-158 glasso_1.11
[133] jsonlite_1.8.0 carData_3.0-5 viridisLite_0.4.0
[136] fansi_1.0.3 pillar_1.7.0 lattice_0.20-45
[139] fastmap_1.1.0 httr_1.4.3 plotrix_3.8-2
[142] survival_3.3-1 glue_1.6.2 fdrtool_1.2.17
[145] png_0.1-7 ggforce_0.3.3 stringi_1.7.6
[148] sass_0.4.1 latticeExtra_0.6-29 caTools_1.18.2