Last updated: 2022-07-06
Checks: 6 1
Knit directory: BH3profiling/analysis/
This reproducible R Markdown analysis was created with workflowr (version 1.7.0). The Checks tab describes the reproducibility checks that were applied when the results were created. The Past versions tab lists the development history.
The R Markdown is untracked by Git. To know which version of the R
Markdown file created these results, you’ll want to first commit it to
the Git repo. If you’re still working on the analysis, you can ignore
this warning. When you’re finished, you can run
wflow_publish to commit the R Markdown file and build the
HTML.
Great job! The global environment was empty. Objects defined in the global environment can affect the analysis in your R Markdown file in unknown ways. For reproduciblity it’s best to always run the code in an empty environment.
The command set.seed(20200826) was run prior to running
the code in the R Markdown file. Setting a seed ensures that any results
that rely on randomness, e.g. subsampling or permutations, are
reproducible.
Great job! Recording the operating system, R version, and package versions is critical for reproducibility.
Nice! There were no cached chunks for this analysis, so you can be confident that you successfully produced the results during this run.
Great job! Using relative paths to the files within your workflowr project makes it easier to run your code on other machines.
Great! You are using Git for version control. Tracking code development and connecting the code version to the results is critical for reproducibility.
The results in this page were generated with repository version 90ada8f. See the Past versions tab to see a history of the changes made to the R Markdown and HTML files.
Note that you need to be careful to ensure that all relevant files for
the analysis have been committed to Git prior to generating the results
(you can use wflow_publish or
wflow_git_commit). workflowr only checks the R Markdown
file, but you know if there are other scripts or data files that it
depends on. Below is the status of the Git repository when the results
were generated:
Ignored files:
Ignored: .DS_Store
Ignored: .Rhistory
Ignored: .Rproj.user/
Ignored: analysis/.DS_Store
Ignored: analysis/.Rhistory
Ignored: analysis/manuscript_drugResponses_cache/
Ignored: data/.DS_Store
Ignored: data/.Rapp.history
Ignored: output/.DS_Store
Untracked files:
Untracked: analysis/Annexin_rawInput.Rmd
Untracked: analysis/BH3_PCA.csv
Untracked: analysis/BH3baseline_analysis_fromBase.Rmd
Untracked: analysis/BH3baseline_analysis_fromDBP.Rmd
Untracked: analysis/BH3baseline_rawInput.Rmd
Untracked: analysis/BH3dynamic_rawInput.Rmd
Untracked: analysis/analysisVenetoclax.Rmd
Untracked: analysis/based_pep_var.pdf
Untracked: analysis/clinialTrial_analysis.Rmd
Untracked: analysis/compareBaseline.Rmd
Untracked: analysis/compareBaseline.pdf
Untracked: analysis/deprecated/
Untracked: analysis/drugResponse_baseBH3_analysis.Rmd
Untracked: analysis/drugResponse_baseBH3_analysis_AUC copy.Rmd
Untracked: analysis/drugResponse_baseBH3_analysis_AUC.Rmd
Untracked: analysis/dynamicBH3_analysis.Rmd
Untracked: analysis/dynamicBH3_analysis_AUC.Rmd
Untracked: analysis/landscape_baseBH3_analysis.Rmd
Untracked: analysis/landscape_baseBH3_analysis_AUC.Rmd
Untracked: analysis/landscape_baseBH3_fromBase_analysis_AUC.Rmd
Untracked: analysis/manuscript_clinicalAnalysis.Rmd
Untracked: analysis/manuscript_drugResponses.Rmd
Untracked: analysis/manuscript_dynamicBH3.Rmd
Untracked: analysis/manuscript_dynamicBH3_old.Rmd
Untracked: analysis/manuscript_overview.Rmd
Untracked: analysis/manuscript_overview_fromBaseBH3.Rmd
Untracked: analysis/manuscript_overview_singleConc.Rmd
Untracked: analysis/outcome_baseBH3_analysis.Rmd
Untracked: analysis/outcome_baseBH3_analysis_AUC.Rmd
Untracked: analysis/patBack.csv
Untracked: analysis/platePlot.pdf
Untracked: analysis/platePlot_dynamic.pdf
Untracked: analysis/predictOutcomes.Rmd
Untracked: analysis/pretreatment_effect_estiamtion.csv
Untracked: analysis/tableS1_sampleSummary.csv
Untracked: analysis/venePair_auc.pdf
Untracked: analysis/venePair_auc_norm.pdf
Untracked: analysis/venePair_auc_raw.pdf
Untracked: analysis/venePair_con.pdf
Untracked: analysis/venePair_conc_unorm.pdf
Untracked: code/utils.R
Untracked: data/13092020 Patient Outcome Analysis - IBR plus FCR - for Junyan.xlsx
Untracked: data/Data for Thorsten .xlsx
Untracked: data/Raw data Baseline for Junyan.xlsx
Untracked: data/Raw data DBP for Junyan.xlsx
Untracked: data/T. Zenz data for Junyan.xlsx
Untracked: data/Zenz Project overview cell counts etc.xlsx
Untracked: data/commonFiles/
Untracked: data/venetoclax_coculture.rds
Untracked: figures/
Untracked: manuscript/
Untracked: output/baseBH3.RData
Untracked: output/dataAnnexin.RData
Untracked: output/dynamicBH3.RData
Unstaged changes:
Modified: _workflowr.yml
Modified: analysis/_site.yml
Deleted: analysis/about.Rmd
Modified: analysis/index.Rmd
Deleted: analysis/license.Rmd
Note that any generated files, e.g. HTML, png, CSS, etc., are not included in this status report because it is ok for generated content to have uncommitted changes.
There are no past versions. Publish this analysis with
wflow_publish() to start tracking its development.
Load
Use baseline level from DBP profiling
Prepare sample background annotations
Save a table of patient information
Number of samples
[1] 73






Associations with P-value < 0.05
# A tibble: 4 × 3
# Groups: PC, feature [4]
PC feature p.value
<chr> <chr> <dbl>
1 PC2 NOTCH1 0.00129
2 PC2 IGHV.status 0.00286
3 PC1 trisomy12 0.0102
4 PC2 Methylation_Cluster 0.0356
Plot associations

Plot feature loadings on the first three PCs



Prepare patient genomic background
[1] "IGHV.status" "del11q" "del13q" "del17p" "trisomy12"
[6] "NOTCH1" "SF3B1" "TP53"

Test for Genomics
Methylation cluster

If multiple concentrations are identified as significant, only show
the most significant concentration.


Test for Genomics
# A tibble: 7 × 4
feature p.value estimate p.adj
<chr> <dbl> <dbl> <dbl>
1 ABT199 0.0174 11.7 0.122
2 BAD 0.0460 9.51 0.161
3 BIM 0.414 2.99 0.580
4 FS1 0.190 4.23 0.333
5 HRKy 0.946 -0.0745 0.946
6 MS1 0.787 1.49 0.918
7 PUMA 0.116 6.85 0.270

Pearson's Chi-squared test with Yates' continuity correction
data: patAnno$IGHV.status and patAnno$pretreat
X-squared = 4.9003, df = 1, p-value = 0.02685
How many treated and untreated samples?
no yes
55 18
Test for Genomics
Methylation cluster
Combine
Test for Genomics
Methylation cluster
Table for comparing results

RNAseq
BH3 profiling

# A tibble: 7 × 2
feature n
<chr> <int>
1 ABT199 110
2 BAD 64
3 BIM 0
4 FS1 0
5 HRKy 0
6 MS1 0
7 PUMA 0







Record siginificant RNAs for later feature selection

Proteomics
[1] 3314 30
BH3 profiling
None passed 10% FDR


If multiple concentrations are identified as significant, only show
the most significant concentration.

P.Value coef feature adj.P.Val peptide conc concIndex
1 0.5419874 -0.11384658 BIM 0.9110941 BIM 5e-03 1
2 0.5769504 -0.10420050 BAD 0.9110941 BAD 5e-02 1
3 0.6122063 -0.09473453 MS1 0.9110941 MS1 1e+01 1
4 0.6383630 0.08785945 HRKy 0.9110941 HRKy 1e+01 1
5 0.7044989 -0.07094563 PUMA 0.9110941 PUMA 1e-01 1
6 0.8722659 0.03010788 ABT199 0.9110941 ABT199 1e-02 1
7 0.9110941 0.02091168 FS1 0.9110941 FS1 1e+01 1
No significant correlations?

The baseline ATP levels represent the cell viability without any drug treatment in our screen. There are three features, ATP level at 0 hour, ATP level at 48 hour and the difference of those two values. These measurements can in some degree represent the intrinsic vulnerability/metabolic activity of the cells.
“ATP_diff” is the measurement of ATP loss during 48h culturing
BH3 profiling
RNAseq
For genomic data
For demographic and clinical data
Function to Generate the explanatory dataset for each BH3 profile
Clean and integrate multi-omics data
Function for multi-variate regression
Perform lasso regression
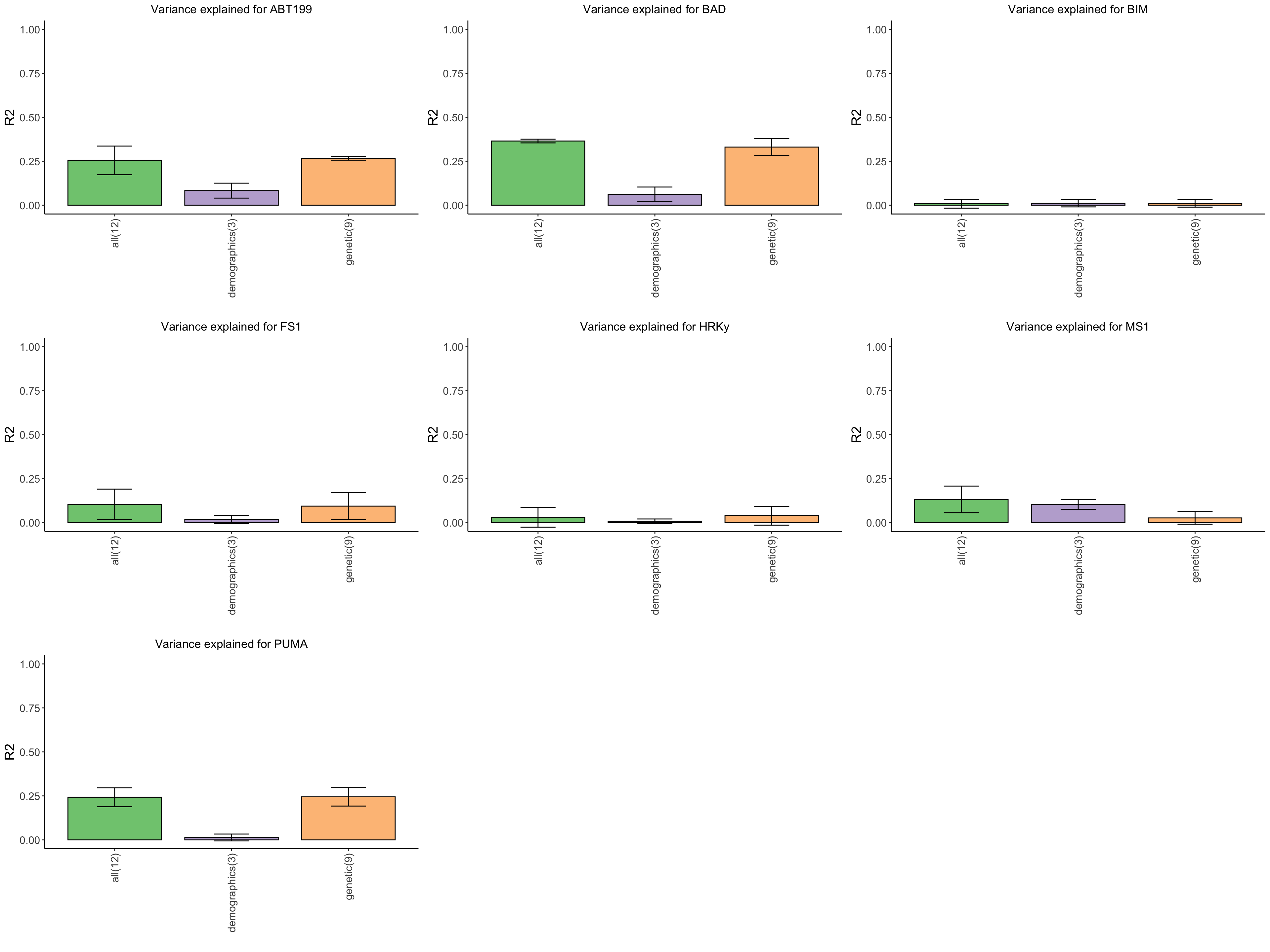
Function for plotting variance explained for each measurement

Function for the heatmap plot
Plot all heatmaps

Function for multi-variate regression without lasso penalty
Perform linear regression without penalization

Plot all heatmaps

R version 4.2.0 (2022-04-22)
Platform: x86_64-apple-darwin17.0 (64-bit)
Running under: macOS Big Sur/Monterey 10.16
Matrix products: default
BLAS: /Library/Frameworks/R.framework/Versions/4.2/Resources/lib/libRblas.0.dylib
LAPACK: /Library/Frameworks/R.framework/Versions/4.2/Resources/lib/libRlapack.dylib
locale:
[1] en_US.UTF-8/en_US.UTF-8/en_US.UTF-8/C/en_US.UTF-8/en_US.UTF-8
attached base packages:
[1] stats4 stats graphics grDevices utils datasets methods
[8] base
other attached packages:
[1] gtable_0.3.0 glmnet_4.1-4
[3] Matrix_1.4-1 DESeq2_1.36.0
[5] latex2exp_0.9.4 forcats_0.5.1
[7] stringr_1.4.0 dplyr_1.0.9
[9] purrr_0.3.4 readr_2.1.2
[11] tidyr_1.2.0 tibble_3.1.7
[13] ggplot2_3.3.6 tidyverse_1.3.1
[15] SummarizedExperiment_1.26.1 Biobase_2.56.0
[17] GenomicRanges_1.48.0 GenomeInfoDb_1.32.2
[19] IRanges_2.30.0 S4Vectors_0.34.0
[21] BiocGenerics_0.42.0 MatrixGenerics_1.8.0
[23] matrixStats_0.62.0 IHW_1.24.0
[25] limma_3.52.2 pheatmap_1.0.12
[27] cowplot_1.1.1 corrplot_0.92
[29] qgraph_1.9.2 jyluMisc_0.1.5
loaded via a namespace (and not attached):
[1] utf8_1.2.2 shinydashboard_0.7.2 tidyselect_1.1.2
[4] RSQLite_2.2.14 AnnotationDbi_1.58.0 htmlwidgets_1.5.4
[7] grid_4.2.0 BiocParallel_1.30.3 maxstat_0.7-25
[10] munsell_0.5.0 codetools_0.2-18 DT_0.23
[13] withr_2.5.0 colorspace_2.0-3 highr_0.9
[16] knitr_1.39 rstudioapi_0.13 ggsignif_0.6.3
[19] labeling_0.4.2 git2r_0.30.1 slam_0.1-50
[22] GenomeInfoDbData_1.2.8 lpsymphony_1.24.0 mnormt_2.1.0
[25] KMsurv_0.1-5 bit64_4.0.5 farver_2.1.0
[28] rprojroot_2.0.3 vctrs_0.4.1 generics_0.1.2
[31] TH.data_1.1-1 xfun_0.31 sets_1.0-21
[34] R6_2.5.1 ggbeeswarm_0.6.0 locfit_1.5-9.5
[37] cachem_1.0.6 bitops_1.0-7 fgsea_1.22.0
[40] DelayedArray_0.22.0 assertthat_0.2.1 vroom_1.5.7
[43] promises_1.2.0.1 scales_1.2.0 multcomp_1.4-19
[46] nnet_7.3-17 beeswarm_0.4.0 sandwich_3.0-2
[49] workflowr_1.7.0 rlang_1.0.2 genefilter_1.78.0
[52] splines_4.2.0 rstatix_0.7.0 broom_0.8.0
[55] checkmate_2.1.0 yaml_2.3.5 reshape2_1.4.4
[58] abind_1.4-5 modelr_0.1.8 crosstalk_1.2.0
[61] backports_1.4.1 httpuv_1.6.5 Hmisc_4.7-0
[64] tools_4.2.0 relations_0.6-12 psych_2.2.5
[67] lavaan_0.6-11 ellipsis_0.3.2 gplots_3.1.3
[70] jquerylib_0.1.4 RColorBrewer_1.1-3 Rcpp_1.0.8.3
[73] plyr_1.8.7 base64enc_0.1-3 visNetwork_2.1.0
[76] zlibbioc_1.42.0 RCurl_1.98-1.7 ggpubr_0.4.0
[79] rpart_4.1.16 pbapply_1.5-0 zoo_1.8-10
[82] ggrepel_0.9.1 haven_2.5.0 cluster_2.1.3
[85] exactRankTests_0.8-35 fs_1.5.2 magrittr_2.0.3
[88] data.table_1.14.2 reprex_2.0.1 survminer_0.4.9
[91] mvtnorm_1.1-3 hms_1.1.1 shinyjs_2.1.0
[94] mime_0.12 evaluate_0.15 xtable_1.8-4
[97] XML_3.99-0.10 jpeg_0.1-9 readxl_1.4.0
[100] shape_1.4.6 gridExtra_2.3 compiler_4.2.0
[103] KernSmooth_2.23-20 crayon_1.5.1 htmltools_0.5.2
[106] mgcv_1.8-40 corpcor_1.6.10 later_1.3.0
[109] tzdb_0.3.0 Formula_1.2-4 geneplotter_1.74.0
[112] lubridate_1.8.0 DBI_1.1.3 dbplyr_2.2.0
[115] MASS_7.3-57 car_3.1-0 cli_3.3.0
[118] marray_1.74.0 parallel_4.2.0 igraph_1.3.2
[121] pkgconfig_2.0.3 km.ci_0.5-6 foreign_0.8-82
[124] piano_2.12.0 foreach_1.5.2 xml2_1.3.3
[127] annotate_1.74.0 pbivnorm_0.6.0 vipor_0.4.5
[130] bslib_0.3.1 XVector_0.36.0 drc_3.0-1
[133] rvest_1.0.2 digest_0.6.29 Biostrings_2.64.0
[136] rmarkdown_2.14 cellranger_1.1.0 fastmatch_1.1-3
[139] survMisc_0.5.6 htmlTable_2.4.0 shiny_1.7.1
[142] gtools_3.9.2.2 lifecycle_1.0.1 nlme_3.1-158
[145] glasso_1.11 jsonlite_1.8.0 carData_3.0-5
[148] fansi_1.0.3 pillar_1.7.0 lattice_0.20-45
[151] KEGGREST_1.36.2 fastmap_1.1.0 httr_1.4.3
[154] plotrix_3.8-2 survival_3.3-1 glue_1.6.2
[157] fdrtool_1.2.17 iterators_1.0.14 png_0.1-7
[160] bit_4.0.4 stringi_1.7.6 sass_0.4.1
[163] blob_1.2.3 memoise_2.0.1 latticeExtra_0.6-29
[166] caTools_1.18.2