Last updated: 2020-04-15
Checks: 6 1
Knit directory: Proteomics/analysis/
This reproducible R Markdown analysis was created with workflowr (version 1.6.0). The Checks tab describes the reproducibility checks that were applied when the results were created. The Past versions tab lists the development history.
The R Markdown file has unstaged changes. To know which version of the R Markdown file created these results, you’ll want to first commit it to the Git repo. If you’re still working on the analysis, you can ignore this warning. When you’re finished, you can run wflow_publish to commit the R Markdown file and build the HTML.
Great job! The global environment was empty. Objects defined in the global environment can affect the analysis in your R Markdown file in unknown ways. For reproduciblity it’s best to always run the code in an empty environment.
The command set.seed(20200227) was run prior to running the code in the R Markdown file. Setting a seed ensures that any results that rely on randomness, e.g. subsampling or permutations, are reproducible.
Great job! Recording the operating system, R version, and package versions is critical for reproducibility.
Nice! There were no cached chunks for this analysis, so you can be confident that you successfully produced the results during this run.
Great job! Using relative paths to the files within your workflowr project makes it easier to run your code on other machines.
Great! You are using Git for version control. Tracking code development and connecting the code version to the results is critical for reproducibility. The version displayed above was the version of the Git repository at the time these results were generated.
Note that you need to be careful to ensure that all relevant files for the analysis have been committed to Git prior to generating the results (you can use wflow_publish or wflow_git_commit). workflowr only checks the R Markdown file, but you know if there are other scripts or data files that it depends on. Below is the status of the Git repository when the results were generated:
Ignored files:
Ignored: .DS_Store
Ignored: .Rhistory
Ignored: .Rproj.user/
Ignored: analysis/.DS_Store
Ignored: analysis/.Rhistory
Ignored: analysis/correlateGenomic_cache/
Ignored: analysis/correlateGenomic_noBlock_MCLL_cache/
Ignored: analysis/correlateGenomic_noBlock_UCLL_cache/
Ignored: analysis/correlateGenomic_noBlock_cache/
Ignored: analysis/predictOutcome_cache/
Ignored: data/.DS_Store
Ignored: output/.DS_Store
Untracked files:
Untracked: analysis/analysisSplicing.Rmd
Untracked: analysis/analysisTrisomy19.Rmd
Untracked: analysis/correlateGenomic_noBlock.Rmd
Untracked: analysis/correlateGenomic_noBlock_MCLL.Rmd
Untracked: analysis/correlateGenomic_noBlock_UCLL.Rmd
Untracked: analysis/default.css
Untracked: analysis/peptideValidate.Rmd
Untracked: analysis/processPeptides_LUMOS.Rmd
Untracked: analysis/style.css
Untracked: code/utils.R
Untracked: data/190909_CLL_prot_abund_med_norm.tsv
Untracked: data/190909_CLL_prot_abund_no_norm.tsv
Untracked: data/20190423_Proteom_submitted_samples_bereinigt.xlsx
Untracked: data/20191025_Proteom_submitted_samples_final.xlsx
Untracked: data/LUMOS/
Untracked: data/LUMOS_peptides/
Untracked: data/LUMOS_protAnnotation.csv
Untracked: data/LUMOS_protAnnotation_fix.csv
Untracked: data/SampleAnnotation_cleaned.xlsx
Untracked: data/facTab_IC50atLeast3New.RData
Untracked: data/gmts/
Untracked: data/mapEnsemble.txt
Untracked: data/mapSymbol.txt
Untracked: data/pyprophet_export_aligned.csv
Untracked: data/timsTOF_protAnnotation.csv
Untracked: output/LUMOS_processed.RData
Untracked: output/dxdCLL.RData
Untracked: output/pepCLL_lumos.RData
Untracked: output/pepTab_lumos.RData
Untracked: output/proteomic_LUMOS_20200227.RData
Untracked: output/proteomic_LUMOS_20200320.RData
Untracked: output/proteomic_timsTOF_20200227.RData
Untracked: output/splicingResults.RData
Untracked: output/timsTOF_processed.RData
Unstaged changes:
Modified: analysis/_site.yml
Modified: analysis/analysisSF3B1.Rmd
Modified: analysis/compareProteomicsRNAseq.Rmd
Modified: analysis/correlateGenomic.Rmd
Modified: analysis/correlateMIR.Rmd
Modified: analysis/correlateMethylationCluster.Rmd
Modified: analysis/index.Rmd
Modified: analysis/predictOutcome.Rmd
Modified: analysis/processProteomics_LUMOS.Rmd
Modified: analysis/qualityControl_LUMOS.Rmd
Note that any generated files, e.g. HTML, png, CSS, etc., are not included in this status report because it is ok for generated content to have uncommitted changes.
These are the previous versions of the R Markdown and HTML files. If you’ve configured a remote Git repository (see ?wflow_git_remote), click on the hyperlinks in the table below to view them.
| File | Version | Author | Date | Message |
|---|---|---|---|---|
| html | b8e0823 | Junyan Lu | 2020-03-10 | Build site. |
| Rmd | c8cb45c | Junyan Lu | 2020-03-10 | update analysis |
protMat <- assays(protCLL)[["count"]]
Fit the probailistic dropout model
patAnno <- data.frame(row.names = colnames(protMat),
IGHV = patMeta[match(colnames(protMat),patMeta$Patient.ID),]$IGHV.status,
trisomy12 = patMeta[match(colnames(protMat),patMeta$Patient.ID),]$trisomy12) %>%
mutate(IGHV = factor(IGHV, levels = c("U","M")))
fit <- proDA(protMat, design = ~ IGHV + trisomy12,
col_data = patAnno)
diffRes.prot <- list()
diffRes.prot[["IGHV"]] <- test_diff(fit, "IGHVM")
diffRes.prot[["trisomy12"]] <- test_diff(fit, "trisomy121")
dds$diag <- patMeta[match(dds$PatID, patMeta$Patient.ID),]$diagnosis
dds <- dds[,dds$diag %in% "CLL"]
dds <- estimateSizeFactors(dds)
##filter out none protein coding genes and gene on sex chromosome
dds<-dds[rowData(dds)$biotype %in% "protein_coding",]
dds <- dds[! rowData(dds)$symbol %in% c("",NA),]
##filter out low count genes
minrs <- 100
rs <- rowSums(counts(dds, normalized = TRUE))
dds<-dds[ rs >= minrs, ]
## Add IGHV and trisomy12 annotation
dds$IGHV <- factor(patMeta[match(dds$PatID, patMeta$Patient.ID),]$IGHV.status, levels = c("U","M"))
dds$trisomy12 <- patMeta[match(dds$PatID, patMeta$Patient.ID),]$trisomy12
dds <- dds[,!(is.na(dds$IGHV) | is.na(dds$trisomy12))]
## A down-sampled data with only patients inluced in proteomic data
ddsSub <- dds[,dds$PatID %in% colnames(protMat)]
minrs <- 100
rs <- rowSums(counts(ddsSub, normalized = TRUE))
ddsSub<-ddsSub[ rs >= minrs, ]
Test using DESeq2
dim(dds)
[1] 16141 208
design(dds) <- ~ IGHV + trisomy12
ddsDE <- DESeq(dds)
using pre-existing size factors
estimating dispersions
gene-wise dispersion estimates
mean-dispersion relationship
final dispersion estimates
fitting model and testing
-- replacing outliers and refitting for 692 genes
-- DESeq argument 'minReplicatesForReplace' = 7
-- original counts are preserved in counts(dds)
estimating dispersions
fitting model and testing
Get results
diffRes.rna <- list()
diffRes.rna[["IGHV"]] <- results(ddsDE, name = "IGHV_M_vs_U", tidy = TRUE)
diffRes.rna[["trisomy12"]] <- results(ddsDE, name = "trisomy12_1_vs_0", tidy = TRUE)
Test using DESeq2
dim(ddsSub)
[1] 14902 46
design(ddsSub) <- ~ IGHV + trisomy12
ddsSubDE <- DESeq(ddsSub)
using pre-existing size factors
estimating dispersions
gene-wise dispersion estimates
mean-dispersion relationship
final dispersion estimates
fitting model and testing
-- replacing outliers and refitting for 473 genes
-- DESeq argument 'minReplicatesForReplace' = 7
-- original counts are preserved in counts(dds)
estimating dispersions
fitting model and testing
Get results
diffRes.rnaSub <- list()
diffRes.rnaSub[["IGHV"]] <- results(ddsSubDE, name = "IGHV_M_vs_U", tidy = TRUE)
diffRes.rnaSub[["trisomy12"]] <- results(ddsSubDE, name = "trisomy12_1_vs_0", tidy = TRUE)
Process differential expression output
protRes <- diffRes.prot$IGHV %>% mutate(symbol = rowData(protCLL_raw[name,])$hgnc_symbol) %>%
select(symbol, pval, adj_pval, diff) %>%
dplyr::rename(pval.prot = pval, padj.prot = adj_pval, diff.prot = diff) %>%
arrange(pval.prot) %>% distinct(symbol, .keep_all = TRUE)
rnaRes <- diffRes.rna$IGHV %>% mutate(symbol = rowData(dds[row,])$symbol) %>%
select(symbol, pvalue, padj, log2FoldChange) %>%
dplyr::rename(pval.rna = pvalue, padj.rna = padj, diff.rna = log2FoldChange) %>%
arrange(pval.rna) %>% distinct(symbol, .keep_all = TRUE)
compareTab <- left_join(protRes, rnaRes, by = "symbol") %>%
filter(!is.na(pval.rna)) %>%
mutate(significant = case_when(
padj.rna < 0.01 & padj.prot < 0.01 ~ "both",
padj.rna < 0.01 & padj.prot >= 0.01 ~ "rnaOnly",
padj.rna >= 0.01 & padj.prot < 0.01 ~ "proteinOnly",
padj.rna >= 0.01 & padj.prot >= 0.01 ~"none"
))
ggplot(compareTab, aes(x=-log10(padj.rna),y=-log10(padj.prot))) + geom_point(aes(col = significant)) +
scale_color_manual(values = c(both = "green",rnaOnly = "red", proteinOnly = "blue",none="grey")) +
scale_x_log10() +
ggrepel::geom_text_repel(data = filter(compareTab, significant == "proteinOnly"), aes(label = symbol)) +
ylab("-log10(adjusted p value) in proteomic data") +
xlab("-log10(adjusted p value) in RNAseq data")

| Version | Author | Date |
|---|---|---|
| b8e0823 | Junyan Lu | 2020-03-10 |
Note that the xaxis is shown is log10 scale, to concentrate more on the differentially expressed proteins, as there are way more differentially expressed genes by RNAseq than proteins.
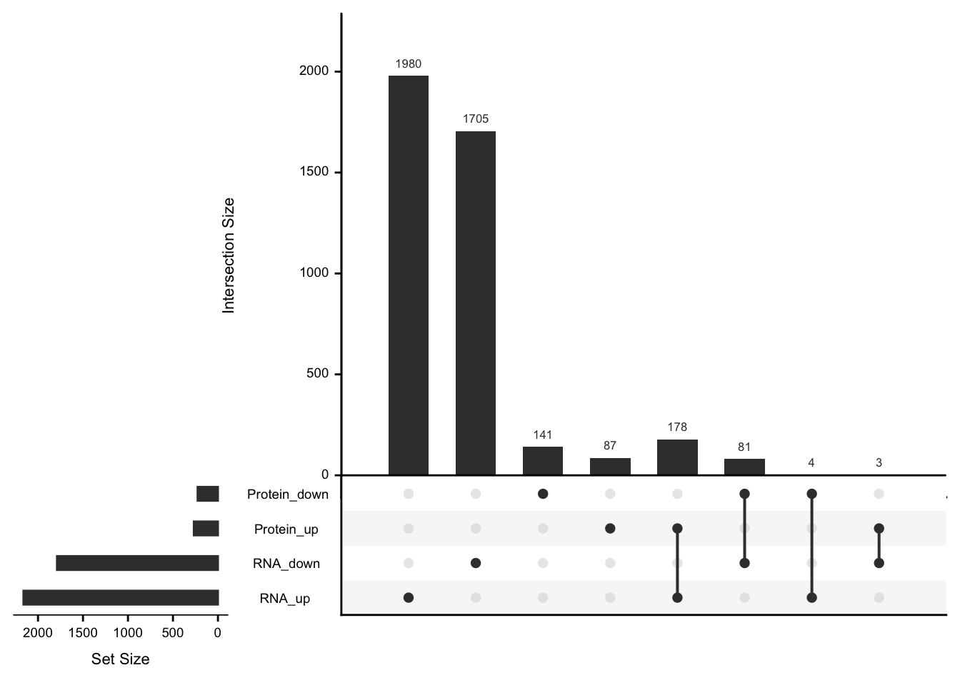
upsetList <- list(RNA_up = filter(rnaRes, padj.rna <= 0.01, diff.rna > 0)$symbol,
RNA_down = filter(rnaRes, padj.rna <= 0.01, diff.rna < 0)$symbol,
Protein_up = filter(protRes, padj.prot <= 0.01, diff.prot > 0)$symbol,
Protein_down = filter(protRes, padj.prot <= 0.01, diff.prot < 0)$symbol)
UpSetR::upset(fromList(upsetList))

| Version | Author | Date |
|---|---|---|
| b8e0823 | Junyan Lu | 2020-03-10 |
compareTab %>% filter(significant != "none") %>%
mutate_if(is.numeric, formatC, format ="e", digits=2) %>%
DT::datatable(filter = "top")
Process differential expression output
protRes <- diffRes.prot$trisomy12 %>% mutate(symbol = rowData(protCLL_raw[name,])$hgnc_symbol) %>%
select(symbol, pval, adj_pval, diff) %>%
dplyr::rename(pval.prot = pval, padj.prot = adj_pval, diff.prot = diff) %>%
arrange(pval.prot) %>% distinct(symbol, .keep_all = TRUE)
rnaRes <- diffRes.rna$trisomy12 %>% mutate(symbol = rowData(dds[row,])$symbol,
chr = rowData(dds[row,])$chromosome) %>%
select(symbol, pvalue, padj, log2FoldChange, chr) %>%
dplyr::rename(pval.rna = pvalue, padj.rna = padj, diff.rna = log2FoldChange) %>%
arrange(pval.rna) %>% distinct(symbol, .keep_all = TRUE)
compareTab <- left_join(protRes, rnaRes, by = "symbol") %>%
filter(!is.na(pval.rna)) %>%
mutate(significant = case_when(
padj.rna < 0.01 & padj.prot < 0.01 ~ "both",
padj.rna < 0.01 & padj.prot >= 0.01 ~ "rnaOnly",
padj.rna >= 0.01 & padj.prot < 0.01 ~ "proteinOnly",
padj.rna >= 0.01 & padj.prot >= 0.01 ~"none"
))
ggplot(compareTab, aes(x=-log10(padj.rna),y=-log10(padj.prot))) + geom_point(aes(col = significant)) +
scale_color_manual(values = c(both = "green",rnaOnly = "red", proteinOnly = "blue",none="grey")) +
scale_x_log10() +
ggrepel::geom_text_repel(data = filter(compareTab, significant == "proteinOnly"), aes(label = symbol)) +
ylab("-log10(adjusted p value) in proteomic data") +
xlab("-log10(adjusted p value) in RNAseq data")

| Version | Author | Date |
|---|---|---|
| b8e0823 | Junyan Lu | 2020-03-10 |
Note that the xaxis is shown is log10 scale, to concentrate more on the differentially expressed proteins, as there are way more differentially expressed genes by RNAseq than proteins.
plotTab <- filter(compareTab, chr != "12")
ggplot(plotTab, aes(x=-log10(padj.rna),y=-log10(padj.prot))) + geom_point(aes(col = significant)) +
scale_color_manual(values = c(both = "green",rnaOnly = "red", proteinOnly = "blue",none="grey")) +
scale_x_log10() +
ggrepel::geom_text_repel(data = filter(plotTab, significant == "proteinOnly"), aes(label = symbol)) +
ylab("-log10(adjusted p value) in proteomic data") +
xlab("-log10(adjusted p value) in RNAseq data")

| Version | Author | Date |
|---|---|---|
| b8e0823 | Junyan Lu | 2020-03-10 |
Note that the xaxis is shown is log10 scale, to concentrate more on the differentially expressed proteins, as there are way more differentially expressed genes by RNAseq than proteins.
plotTab <- filter(compareTab, chr == "12")
ggplot(plotTab, aes(x=-log10(padj.rna),y=-log10(padj.prot))) + geom_point(aes(col = significant)) +
scale_color_manual(values = c(both = "green",rnaOnly = "red", proteinOnly = "blue",none="grey")) +
scale_x_log10() +
ggrepel::geom_text_repel(data = filter(plotTab, significant == "proteinOnly"), aes(label = symbol)) +
ylab("-log10(adjusted p value) in proteomic data") +
xlab("-log10(adjusted p value) in RNAseq data")

| Version | Author | Date |
|---|---|---|
| b8e0823 | Junyan Lu | 2020-03-10 |
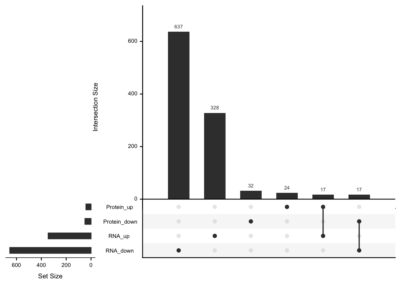
upsetList <- list(RNA_up = filter(rnaRes, padj.rna <= 0.01, diff.rna > 0)$symbol,
RNA_down = filter(rnaRes, padj.rna <= 0.01, diff.rna < 0)$symbol,
Protein_up = filter(protRes, padj.prot <= 0.01, diff.prot > 0)$symbol,
Protein_down = filter(protRes, padj.prot <= 0.01, diff.prot < 0)$symbol)
UpSetR::upset(fromList(upsetList))

| Version | Author | Date |
|---|---|---|
| b8e0823 | Junyan Lu | 2020-03-10 |
compareTab %>% filter(significant != "none") %>%
mutate_if(is.numeric, formatC, format ="e", digits=2) %>%
DT::datatable(filter="top")
Only the RNAseq samples with proteomic data are included, for a fair comparison.
Process differential expression output
protRes <- diffRes.prot$IGHV %>% mutate(symbol = rowData(protCLL_raw[name,])$hgnc_symbol) %>%
select(symbol, pval, adj_pval, diff) %>%
dplyr::rename(pval.prot = pval, padj.prot = adj_pval, diff.prot = diff) %>%
arrange(pval.prot) %>% distinct(symbol, .keep_all = TRUE)
rnaRes <- diffRes.rnaSub$IGHV %>% mutate(symbol = rowData(dds[row,])$symbol) %>%
select(symbol, pvalue, padj, log2FoldChange) %>%
dplyr::rename(pval.rna = pvalue, padj.rna = padj, diff.rna = log2FoldChange) %>%
arrange(pval.rna) %>% distinct(symbol, .keep_all = TRUE)
compareTab <- left_join(protRes, rnaRes, by = "symbol") %>%
filter(!is.na(pval.rna)) %>%
mutate(significant = case_when(
padj.rna < 0.01 & padj.prot < 0.01 ~ "both",
padj.rna < 0.01 & padj.prot >= 0.01 ~ "rnaOnly",
padj.rna >= 0.01 & padj.prot < 0.01 ~ "proteinOnly",
padj.rna >= 0.01 & padj.prot >= 0.01 ~"none"
))
ggplot(compareTab, aes(x=-log10(padj.rna),y=-log10(padj.prot))) + geom_point(aes(col = significant)) +
scale_color_manual(values = c(both = "green",rnaOnly = "red", proteinOnly = "blue",none="grey")) +
scale_x_log10() +
ggrepel::geom_text_repel(data = filter(compareTab, significant == "proteinOnly"), aes(label = symbol)) +
ylab("-log10(adjusted p value) in proteomic data") +
xlab("-log10(adjusted p value) in RNAseq data")

| Version | Author | Date |
|---|---|---|
| b8e0823 | Junyan Lu | 2020-03-10 |
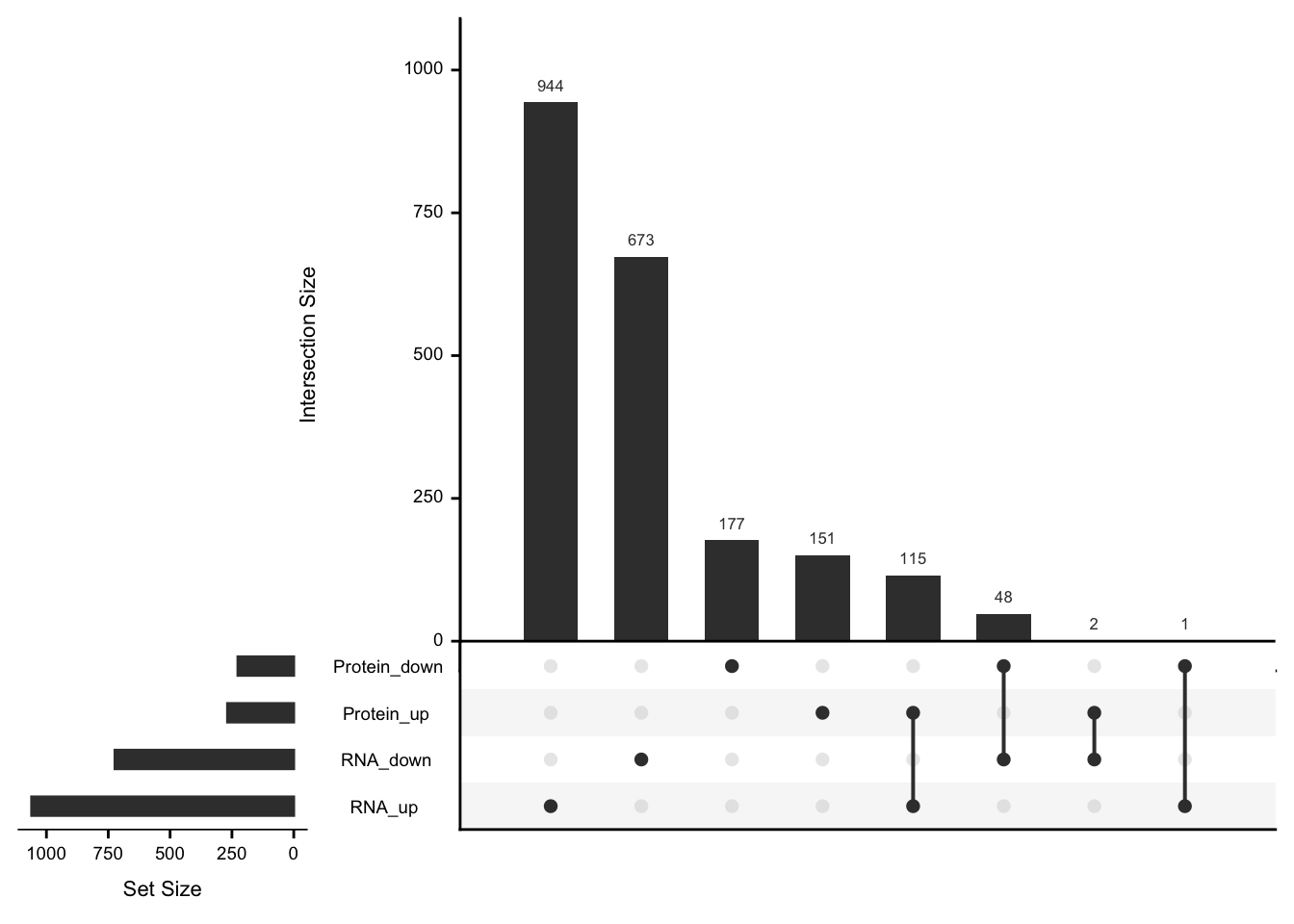
upsetList <- list(RNA_up = filter(rnaRes, padj.rna <= 0.01, diff.rna > 0)$symbol,
RNA_down = filter(rnaRes, padj.rna <= 0.01, diff.rna < 0)$symbol,
Protein_up = filter(protRes, padj.prot <= 0.01, diff.prot > 0)$symbol,
Protein_down = filter(protRes, padj.prot <= 0.01, diff.prot < 0)$symbol)
UpSetR::upset(fromList(upsetList))

| Version | Author | Date |
|---|---|---|
| b8e0823 | Junyan Lu | 2020-03-10 |
RNAseq still detects more differentially expressed genes
compareTab %>% filter(significant != "none") %>%
mutate_if(is.numeric, formatC, format ="e", digits=2) %>%
DT::datatable(filter = "top")
Process differential expression output
protRes <- diffRes.prot$trisomy12 %>% mutate(symbol = rowData(protCLL_raw[name,])$hgnc_symbol) %>%
select(symbol, pval, adj_pval, diff) %>%
dplyr::rename(pval.prot = pval, padj.prot = adj_pval, diff.prot = diff) %>%
arrange(pval.prot) %>% distinct(symbol, .keep_all = TRUE)
rnaRes <- diffRes.rnaSub$trisomy12 %>% mutate(symbol = rowData(dds[row,])$symbol,
chr = rowData(dds[row,])$chromosome) %>%
select(symbol, pvalue, padj, log2FoldChange, chr) %>%
dplyr::rename(pval.rna = pvalue, padj.rna = padj, diff.rna = log2FoldChange) %>%
arrange(pval.rna) %>% distinct(symbol, .keep_all = TRUE)
compareTab <- left_join(protRes, rnaRes, by = "symbol") %>%
filter(!is.na(pval.rna)) %>%
mutate(significant = case_when(
padj.rna < 0.01 & padj.prot < 0.01 ~ "both",
padj.rna < 0.01 & padj.prot >= 0.01 ~ "rnaOnly",
padj.rna >= 0.01 & padj.prot < 0.01 ~ "proteinOnly",
padj.rna >= 0.01 & padj.prot >= 0.01 ~"none"
))
ggplot(compareTab, aes(x=-log10(padj.rna),y=-log10(padj.prot))) + geom_point(aes(col = significant)) +
scale_color_manual(values = c(both = "green",rnaOnly = "red", proteinOnly = "blue",none="grey")) +
scale_x_log10() +
ggrepel::geom_text_repel(data = filter(compareTab, significant == "proteinOnly"), aes(label = symbol)) +
ylab("-log10(adjusted p value) in proteomic data") +
xlab("-log10(adjusted p value) in RNAseq data")

| Version | Author | Date |
|---|---|---|
| b8e0823 | Junyan Lu | 2020-03-10 |
Note that the xaxis is shown is log10 scale, to concentrate more on the differentially expressed proteins, as there are way more differentially expressed genes by RNAseq than proteins.
plotTab <- filter(compareTab, chr != "12")
ggplot(plotTab, aes(x=-log10(padj.rna),y=-log10(padj.prot))) + geom_point(aes(col = significant)) +
scale_color_manual(values = c(both = "green",rnaOnly = "red", proteinOnly = "blue",none="grey")) +
scale_x_log10() +
ggrepel::geom_text_repel(data = filter(plotTab, significant == "proteinOnly"), aes(label = symbol)) +
ylab("-log10(adjusted p value) in proteomic data") +
xlab("-log10(adjusted p value) in RNAseq data")

| Version | Author | Date |
|---|---|---|
| b8e0823 | Junyan Lu | 2020-03-10 |
Note that the xaxis is shown is log10 scale, to concentrate more on the differentially expressed proteins, as there are way more differentially expressed genes by RNAseq than proteins.
plotTab <- filter(compareTab, chr == "12")
ggplot(plotTab, aes(x=-log10(padj.rna),y=-log10(padj.prot))) + geom_point(aes(col = significant)) +
scale_color_manual(values = c(both = "green",rnaOnly = "red", proteinOnly = "blue",none="grey")) +
scale_x_log10() +
ggrepel::geom_text_repel(data = filter(plotTab, significant == "proteinOnly"), aes(label = symbol)) +
ylab("-log10(adjusted p value) in proteomic data") +
xlab("-log10(adjusted p value) in RNAseq data")

| Version | Author | Date |
|---|---|---|
| b8e0823 | Junyan Lu | 2020-03-10 |
upsetList <- list(RNA_up = filter(rnaRes, padj.rna <= 0.01, diff.rna > 0)$symbol,
RNA_down = filter(rnaRes, padj.rna <= 0.01, diff.rna < 0)$symbol,
Protein_up = filter(protRes, padj.prot <= 0.01, diff.prot > 0)$symbol,
Protein_down = filter(protRes, padj.prot <= 0.01, diff.prot < 0)$symbol)
UpSetR::upset(fromList(upsetList))

| Version | Author | Date |
|---|---|---|
| b8e0823 | Junyan Lu | 2020-03-10 |
compareTab %>% filter(significant != "none") %>%
mutate_if(is.numeric, formatC, format ="e", digits=2) %>%
DT::datatable(filter="top")
sessionInfo()
R version 3.6.0 (2019-04-26)
Platform: x86_64-apple-darwin15.6.0 (64-bit)
Running under: macOS 10.15.3
Matrix products: default
BLAS: /Library/Frameworks/R.framework/Versions/3.6/Resources/lib/libRblas.0.dylib
LAPACK: /Library/Frameworks/R.framework/Versions/3.6/Resources/lib/libRlapack.dylib
locale:
[1] en_US.UTF-8/en_US.UTF-8/en_US.UTF-8/C/en_US.UTF-8/en_US.UTF-8
attached base packages:
[1] parallel stats4 stats graphics grDevices utils datasets
[8] methods base
other attached packages:
[1] forcats_0.4.0 stringr_1.4.0
[3] dplyr_0.8.5 purrr_0.3.3
[5] readr_1.3.1 tidyr_1.0.0
[7] tibble_3.0.0 tidyverse_1.3.0
[9] jyluMisc_0.1.5 ggrepel_0.8.1
[11] proDA_1.1.2 UpSetR_1.4.0
[13] vsn_3.52.0 DESeq2_1.24.0
[15] SummarizedExperiment_1.14.0 DelayedArray_0.10.0
[17] BiocParallel_1.18.0 matrixStats_0.54.0
[19] Biobase_2.44.0 GenomicRanges_1.36.0
[21] GenomeInfoDb_1.20.0 IRanges_2.18.1
[23] S4Vectors_0.22.0 BiocGenerics_0.30.0
[25] cowplot_0.9.4 ggplot2_3.3.0
[27] limma_3.40.2
loaded via a namespace (and not attached):
[1] shinydashboard_0.7.1 tidyselect_1.0.0 RSQLite_2.1.1
[4] AnnotationDbi_1.46.0 htmlwidgets_1.3 grid_3.6.0
[7] maxstat_0.7-25 munsell_0.5.0 codetools_0.2-16
[10] preprocessCore_1.46.0 DT_0.7 withr_2.1.2
[13] colorspace_1.4-1 knitr_1.23 rstudioapi_0.10
[16] ggsignif_0.5.0 labeling_0.3 git2r_0.26.1
[19] slam_0.1-45 GenomeInfoDbData_1.2.1 KMsurv_0.1-5
[22] farver_2.0.3 bit64_0.9-7 rprojroot_1.3-2
[25] vctrs_0.2.4 generics_0.0.2 TH.data_1.0-10
[28] xfun_0.8 sets_1.0-18 R6_2.4.0
[31] locfit_1.5-9.1 bitops_1.0-6 fgsea_1.10.0
[34] assertthat_0.2.1 promises_1.0.1 scales_1.1.0
[37] multcomp_1.4-10 nnet_7.3-12 gtable_0.3.0
[40] extraDistr_1.8.11 affy_1.62.0 sandwich_2.5-1
[43] workflowr_1.6.0 rlang_0.4.5 genefilter_1.66.0
[46] cmprsk_2.2-8 splines_3.6.0 acepack_1.4.1
[49] broom_0.5.2 checkmate_2.0.0 BiocManager_1.30.4
[52] yaml_2.2.0 abind_1.4-5 modelr_0.1.5
[55] crosstalk_1.0.0 backports_1.1.4 httpuv_1.5.1
[58] Hmisc_4.2-0 tools_3.6.0 relations_0.6-8
[61] affyio_1.54.0 ellipsis_0.2.0 gplots_3.0.1.1
[64] RColorBrewer_1.1-2 Rcpp_1.0.1 plyr_1.8.4
[67] base64enc_0.1-3 visNetwork_2.0.7 zlibbioc_1.30.0
[70] RCurl_1.95-4.12 ggpubr_0.2.1 rpart_4.1-15
[73] zoo_1.8-6 haven_2.2.0 cluster_2.1.0
[76] exactRankTests_0.8-30 fs_1.4.0 magrittr_1.5
[79] data.table_1.12.2 openxlsx_4.1.0.1 reprex_0.3.0
[82] survminer_0.4.4 mvtnorm_1.0-11 whisker_0.3-2
[85] hms_0.5.2 shinyjs_1.0 mime_0.7
[88] evaluate_0.14 xtable_1.8-4 XML_3.98-1.20
[91] rio_0.5.16 readxl_1.3.1 gridExtra_2.3
[94] compiler_3.6.0 KernSmooth_2.23-15 crayon_1.3.4
[97] htmltools_0.4.0 later_0.8.0 Formula_1.2-3
[100] geneplotter_1.62.0 lubridate_1.7.4 DBI_1.0.0
[103] dbplyr_1.4.2 MASS_7.3-51.4 Matrix_1.2-17
[106] car_3.0-3 cli_1.1.0 marray_1.62.0
[109] gdata_2.18.0 igraph_1.2.4.1 pkgconfig_2.0.2
[112] km.ci_0.5-2 foreign_0.8-71 piano_2.0.2
[115] xml2_1.2.2 annotate_1.62.0 XVector_0.24.0
[118] drc_3.0-1 rvest_0.3.5 digest_0.6.19
[121] rmarkdown_1.13 cellranger_1.1.0 fastmatch_1.1-0
[124] survMisc_0.5.5 htmlTable_1.13.1 curl_3.3
[127] shiny_1.3.2 gtools_3.8.1 lifecycle_0.2.0
[130] nlme_3.1-140 jsonlite_1.6 carData_3.0-2
[133] pillar_1.4.3 lattice_0.20-38 httr_1.4.1
[136] plotrix_3.7-6 survival_2.44-1.1 glue_1.3.2
[139] zip_2.0.2 bit_1.1-14 stringi_1.4.3
[142] blob_1.1.1 latticeExtra_0.6-28 caTools_1.17.1.2
[145] memoise_1.1.0