Last updated: 2020-06-06
Checks: 6 1
Knit directory: Proteomics/analysis/
This reproducible R Markdown analysis was created with workflowr (version 1.6.0). The Checks tab describes the reproducibility checks that were applied when the results were created. The Past versions tab lists the development history.
The R Markdown file has unstaged changes. To know which version of the R Markdown file created these results, you’ll want to first commit it to the Git repo. If you’re still working on the analysis, you can ignore this warning. When you’re finished, you can run wflow_publish to commit the R Markdown file and build the HTML.
Great job! The global environment was empty. Objects defined in the global environment can affect the analysis in your R Markdown file in unknown ways. For reproduciblity it’s best to always run the code in an empty environment.
The command set.seed(20200227) was run prior to running the code in the R Markdown file. Setting a seed ensures that any results that rely on randomness, e.g. subsampling or permutations, are reproducible.
Great job! Recording the operating system, R version, and package versions is critical for reproducibility.
Nice! There were no cached chunks for this analysis, so you can be confident that you successfully produced the results during this run.
Great job! Using relative paths to the files within your workflowr project makes it easier to run your code on other machines.
Great! You are using Git for version control. Tracking code development and connecting the code version to the results is critical for reproducibility. The version displayed above was the version of the Git repository at the time these results were generated.
Note that you need to be careful to ensure that all relevant files for the analysis have been committed to Git prior to generating the results (you can use wflow_publish or wflow_git_commit). workflowr only checks the R Markdown file, but you know if there are other scripts or data files that it depends on. Below is the status of the Git repository when the results were generated:
Ignored files:
Ignored: .DS_Store
Ignored: .Rhistory
Ignored: .Rproj.user/
Ignored: analysis/.DS_Store
Ignored: analysis/.Rhistory
Ignored: analysis/complexAnalysis_IGHV_alternative_cache/
Ignored: analysis/complexAnalysis_IGHV_cache/
Ignored: analysis/complexAnalysis_trisomy12_alteredPQR_cache/
Ignored: analysis/complexAnalysis_trisomy12_alternative_cache/
Ignored: analysis/complexAnalysis_trisomy12_cache/
Ignored: analysis/correlateCLLPD_cache/
Ignored: code/.Rhistory
Ignored: data/.DS_Store
Ignored: output/.DS_Store
Untracked files:
Untracked: analysis/CNVanalysis_11q.Rmd
Untracked: analysis/CNVanalysis_trisomy12.Rmd
Untracked: analysis/CNVanalysis_trisomy19.Rmd
Untracked: analysis/analysisPCA.Rmd
Untracked: analysis/analysisSplicing.Rmd
Untracked: analysis/analysisTrisomy19.Rmd
Untracked: analysis/annotateCNV.Rmd
Untracked: analysis/complexAnalysis_IGHV.Rmd
Untracked: analysis/complexAnalysis_IGHV_alternative.Rmd
Untracked: analysis/complexAnalysis_overall.Rmd
Untracked: analysis/complexAnalysis_trisomy12.Rmd
Untracked: analysis/complexAnalysis_trisomy12_alternative.Rmd
Untracked: analysis/correlateGenomic_PC12adjusted.Rmd
Untracked: analysis/correlateGenomic_noBlock.Rmd
Untracked: analysis/correlateGenomic_noBlock_MCLL.Rmd
Untracked: analysis/correlateGenomic_noBlock_UCLL.Rmd
Untracked: analysis/default.css
Untracked: analysis/del11q.pdf
Untracked: analysis/del11q_norm.pdf
Untracked: analysis/peptideValidate.Rmd
Untracked: analysis/plotExpressionCNV.Rmd
Untracked: analysis/processPeptides_LUMOS.Rmd
Untracked: analysis/style.css
Untracked: analysis/trisomy12.pdf
Untracked: analysis/trisomy12_AFcor.Rmd
Untracked: analysis/trisomy12_norm.pdf
Untracked: code/AlteredPQR.R
Untracked: code/utils.R
Untracked: data/190909_CLL_prot_abund_med_norm.tsv
Untracked: data/190909_CLL_prot_abund_no_norm.tsv
Untracked: data/20190423_Proteom_submitted_samples_bereinigt.xlsx
Untracked: data/20191025_Proteom_submitted_samples_final.xlsx
Untracked: data/LUMOS/
Untracked: data/LUMOS_peptides/
Untracked: data/LUMOS_protAnnotation.csv
Untracked: data/LUMOS_protAnnotation_fix.csv
Untracked: data/SampleAnnotation_cleaned.xlsx
Untracked: data/example_proteomics_data
Untracked: data/facTab_IC50atLeast3New.RData
Untracked: data/gmts/
Untracked: data/mapEnsemble.txt
Untracked: data/mapSymbol.txt
Untracked: data/proteins_in_complexes
Untracked: data/pyprophet_export_aligned.csv
Untracked: data/timsTOF_protAnnotation.csv
Untracked: output/LUMOS_processed.RData
Untracked: output/cnv_plots.zip
Untracked: output/cnv_plots/
Untracked: output/cnv_plots_norm.zip
Untracked: output/dxdCLL.RData
Untracked: output/exprCNV.RData
Untracked: output/pepCLL_lumos.RData
Untracked: output/pepTab_lumos.RData
Untracked: output/plotCNV_allChr11_diff.pdf
Untracked: output/plotCNV_del11q_sum.pdf
Untracked: output/proteomic_LUMOS_20200227.RData
Untracked: output/proteomic_LUMOS_20200320.RData
Untracked: output/proteomic_LUMOS_20200430.RData
Untracked: output/proteomic_timsTOF_20200227.RData
Untracked: output/splicingResults.RData
Untracked: output/timsTOF_processed.RData
Untracked: plotCNV_del11q_diff.pdf
Unstaged changes:
Modified: analysis/_site.yml
Modified: analysis/analysisSF3B1.Rmd
Modified: analysis/compareProteomicsRNAseq.Rmd
Modified: analysis/correlateCLLPD.Rmd
Modified: analysis/correlateGenomic.Rmd
Deleted: analysis/correlateGenomic_removePC.Rmd
Modified: analysis/correlateMIR.Rmd
Modified: analysis/correlateMethylationCluster.Rmd
Modified: analysis/index.Rmd
Modified: analysis/predictOutcome.Rmd
Modified: analysis/processProteomics_LUMOS.Rmd
Modified: analysis/qualityControl_LUMOS.Rmd
Note that any generated files, e.g. HTML, png, CSS, etc., are not included in this status report because it is ok for generated content to have uncommitted changes.
These are the previous versions of the R Markdown and HTML files. If you’ve configured a remote Git repository (see ?wflow_git_remote), click on the hyperlinks in the table below to view them.
| File | Version | Author | Date | Message |
|---|---|---|---|---|
| html | b8e0823 | Junyan Lu | 2020-03-10 | Build site. |
| Rmd | c8cb45c | Junyan Lu | 2020-03-10 | update analysis |
Get top 1000 most variant genes
#remove genes on sex chromosomes
protCLL.sub <- protCLL[!rowData(protCLL)$chromosome_name %in% c("X","Y"),]
plotMat <- assays(protCLL.sub)[["QRILC"]]
sds <- genefilter::rowSds(plotMat)
plotMat <- as.matrix(plotMat[order(sds,decreasing = TRUE)[1:1000],])
colAnno <- colData(protCLL)[,c("gender","IGHV.status","trisomy12")] %>%
data.frame()
PCA
pcRes <- prcomp(t(plotMat), center =TRUE, scale. = TRUE)
pcTab <- pcRes$x
plotTab <- pcTab[,1:4] %>% data.frame() %>% cbind(colAnno[rownames(.),]) %>%
rownames_to_column("patID") %>% as_tibble()
ggplot(plotTab, aes(x=PC1, y=PC2, shape = IGHV.status, col = trisomy12)) + geom_point()

| Version | Author | Date |
|---|---|---|
| b8e0823 | Junyan Lu | 2020-03-10 |
ggplot(plotTab, aes(x=PC3, y=PC4, shape = IGHV.status, col = trisomy12)) + geom_point()

| Version | Author | Date |
|---|---|---|
| b8e0823 | Junyan Lu | 2020-03-10 |
testTab <- pcTab[,1:10] %>% data.frame() %>%
rownames_to_column("patientID") %>% mutate(sampleID = protCLL[,patientID]$sampleID) %>%
gather(key = "factor", value = "value", -patientID, -sampleID) %>%
left_join(survT, by = "sampleID")
#for OS
resOS <- filter(testTab, !is.na(OS)) %>%
group_by(factor) %>%
do(com(.$value, .$OS, .$died, TRUE)) %>% ungroup() %>%
arrange(p) %>% mutate(p.adj = p.adjust(p, method = "BH")) %>%
mutate(Endpoint = "OS")
#for TTT
resTTT <- filter(testTab, !is.na(TTT)) %>%
group_by(factor) %>%
do(com(.$value, .$TTT, .$treatedAfter, TRUE)) %>% ungroup() %>%
arrange(p) %>% mutate(p.adj = p.adjust(p, method = "BH")) %>%
mutate(Endpoint = "TTT")
Plot p value and hazard ratio
plotTab <- bind_rows(resOS, resTTT) %>%
filter(factor %in% c("PC3","PC4","PC5","PC7"))
haPlot <- ggplot(plotTab, aes(x=factor, y = HR, col = Endpoint, dodge = Endpoint)) +
geom_hline(yintercept = 1, linetype = "dotted") +
geom_point(position = position_dodge(width=0.8)) +
geom_errorbar(position = position_dodge(width =0.8),
aes(ymin = lower, ymax = higher), width = 0.3, size=1) +
geom_text(position = position_dodge2(width = 0.8),
aes(x=as.numeric(as.factor(factor))+0.15,
label = sprintf("italic(P)~'='~'%s'",
formatNum(p))),
color = "black",size =5, parse = TRUE) +
xlab("Factor") + ylab("Hazard ratio") +
scale_y_log10(limits = c(0.1,15)) +
coord_flip() + theme_bw() + theme(legend.title = element_blank(),
legend.position = c(0.2,0.1),
legend.background = element_blank(),
legend.key.size = unit(0.5,"cm"),
legend.key.width = unit(0.6,"cm"),
legend.text = element_text(size=rel(1.2)))
haPlot

| Version | Author | Date |
|---|---|---|
| b8e0823 | Junyan Lu | 2020-03-10 |
KM plot for overall survival (OS)
facList <- sort(filter(resOS, p.adj <=0.3)$factor)
osList <- lapply(facList, function(x) {
eachTab <- filter(testTab, factor == x) %>%
select(value, OS, died) %>% filter(!is.na(OS))
pval <- filter(resOS, factor == x)$p
km(eachTab$value, eachTab$OS, eachTab$died, sprintf("%s VS Overall survival time", x),
stat = "maxstat", pval = pval, showTable = TRUE)
})
Warning: Vectorized input to `element_text()` is not officially supported.
Results may be unexpected or may change in future versions of ggplot2.
Warning in is.na(x): is.na() applied to non-(list or vector) of type
'language'
Warning in fitter(X, Y, strats, offset, init, control, weights = weights, :
Loglik converged before variable 1 ; coefficient may be infinite.
Warning: Vectorized input to `element_text()` is not officially supported.
Results may be unexpected or may change in future versions of ggplot2.
Warning in is.na(x): is.na() applied to non-(list or vector) of type
'language'
plot_grid(plotlist = osList)

| Version | Author | Date |
|---|---|---|
| b8e0823 | Junyan Lu | 2020-03-10 |
KM plot for time to treatment (TTT)
facList <- sort(filter(resTTT, p.adj <=0.1)$factor)
tttList <- lapply(facList, function(x) {
eachTab <- filter(testTab, factor == x) %>%
select(value, TTT, treatedAfter) %>% filter(!is.na(TTT))
pval <- filter(resTTT, factor == x)$p
km(eachTab$value, eachTab$TTT, eachTab$treatedAfter, sprintf("%s VS Time to treatment", x), stat = "maxstat",
maxTime = 7, pval = pval, showTable = TRUE)
})
Warning: Vectorized input to `element_text()` is not officially supported.
Results may be unexpected or may change in future versions of ggplot2.
Warning in is.na(x): is.na() applied to non-(list or vector) of type
'language'
Warning: Vectorized input to `element_text()` is not officially supported.
Results may be unexpected or may change in future versions of ggplot2.
Warning in is.na(x): is.na() applied to non-(list or vector) of type
'language'
Warning: Vectorized input to `element_text()` is not officially supported.
Results may be unexpected or may change in future versions of ggplot2.
Warning in is.na(x): is.na() applied to non-(list or vector) of type
'language'
Warning: Vectorized input to `element_text()` is not officially supported.
Results may be unexpected or may change in future versions of ggplot2.
Warning in is.na(x): is.na() applied to non-(list or vector) of type
'language'
plot_grid(plotlist = tttList, ncol = 2)

| Version | Author | Date |
|---|---|---|
| b8e0823 | Junyan Lu | 2020-03-10 |
load("../data/facTab_IC50atLeast3New.RData")
testTab.LF <- mutate(testTab, LF4 = facTab[match(patientID, facTab$patID),]$factor) %>%
filter(!is.na(LF4)) %>% select(factor, value, LF4)
testRes <- group_by(testTab.LF, factor) %>% nest() %>%
mutate(m = map(data, ~cor.test(~LF4 + value, .))) %>%
mutate(res = map(m, broom::tidy)) %>%
unnest(res) %>%
select(factor, p.value) %>% dplyr::rename(PC = factor) %>%
arrange(p.value)
head(testRes)
# A tibble: 6 x 2
# Groups: PC [6]
PC p.value
<chr> <dbl>
1 PC5 0.00102
2 PC4 0.00167
3 PC8 0.151
4 PC2 0.307
5 PC7 0.348
6 PC10 0.360
Both PC4 and PC5 are associated with CLL-PD
protCLL.sub <- protCLL[!rowData(protCLL)$chromosome_name %in% c("X","Y"),]
protMat <- assays(protCLL.sub)[["QRILC"]]
survTab <- survT %>% filter(sampleID %in% protCLL$sampleID) %>%
select(patID,sampleID, OS, died, TTT, treatedAfter) %>%
dplyr::rename(patientID = patID)
uniRes.ttt <- lapply(rownames(protMat), function(n) {
testTab <- mutate(survTab, expr = protMat[n, patientID])
com(testTab$expr, testTab$TTT, testTab$treatedAfter, TRUE) %>%
mutate(id = n)
}) %>% bind_rows() %>% mutate(p.adj = p.adjust(p, method = "BH")) %>%
arrange(p) %>% mutate(name = rowData(protCLL[id,])$hgnc_symbol)
uniRes.os <- lapply(rownames(protMat), function(n) {
testTab <- mutate(survTab, expr = protMat[n, patientID])
com(testTab$expr, testTab$OS, testTab$died, TRUE) %>%
mutate(id = n)
}) %>% bind_rows() %>% mutate(p.adj = p.adjust(p, method = "BH")) %>%
arrange(p) %>% mutate(name = rowData(protCLL[id,])$hgnc_symbol)
Table for TTT
uniRes.ttt %>% filter(p < 0.05) %>% mutate_if(is.numeric, formatC, digits=2,format="e") %>%
select(name, p, HR, p.adj) %>% DT::datatable()
Table for OS
uniRes.os %>% filter(p < 0.05) %>% mutate_if(is.numeric, formatC, digits=2,format="e") %>%
select(name, p, HR, p.adj) %>% DT::datatable()
P-value histogram
plotTab <- mutate(uniRes.ttt, outcome = "TTT") %>% bind_rows(mutate(uniRes.os, outcome = "OS"))
ggplot(plotTab, aes(x=p, fill = outcome)) + geom_histogram(bins = 50) + facet_wrap(~outcome) +
theme(legend.position = "none")+ xlim(0,1)
Warning: Removed 4 rows containing missing values (geom_bar).

| Version | Author | Date |
|---|---|---|
| b8e0823 | Junyan Lu | 2020-03-10 |
#table of known risks
riskTab <- select(survTab, patientID, sampleID) %>%
left_join(patMeta[,c("Patient.ID","IGHV.status","TP53","trisomy12","del17p","gender")], by = c(patientID = "Patient.ID")) %>%
mutate(TP53 = as.numeric(as.character(TP53)),
del17p = as.numeric(as.character(del17p))) %>%
mutate(`TP53.del17p` = as.numeric(TP53 | del17p)) %>%
select(-TP53, -del17p) %>%
mutate_if(is.numeric, as.factor) %>%
mutate(age = ageTab[match(sampleID, ageTab$sampleID),]$age) %>%
dplyr::rename(sex=gender) %>%
mutate(age = age/10) %>% select(-sampleID)
cTab.ttt <- lapply(filter(uniRes.ttt, p<=0.05)$id, function(n) {
risk0 <- riskTab
risk1 <- riskTab %>% mutate(protExpr = protMat[n,patientID])
res0 <- summary(runCox(survTab, risk0, "TTT","treatedAfter"))
res1 <- summary(runCox(survTab, risk1, "TTT","treatedAfter"))
tibble(id = n, c0 = res0$concordance[1], c1 = res1$concordance[1],
se0 = res0$concordance[2],se1 = res1$concordance[2],
ci0 = se0*1.96, ci1 = se1*1.96)
}) %>% bind_rows() %>% mutate(diffC = c1-c0) %>%
arrange(desc(diffC)) %>%
mutate(name=rowData(protCLL[id,])$hgnc_symbol)
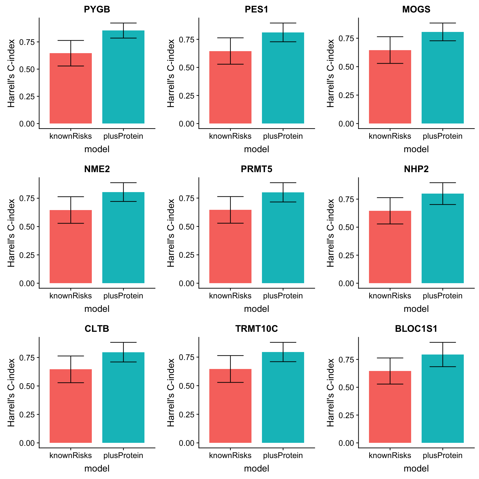
Plot top 9 candidates
plotList <- lapply(1:9, function(i) {
plotTab <- tibble(model = c("knownRisks","plusProtein"),
cindex = c(cTab.ttt[i,]$c0, cTab.ttt[i,]$c1),
ci = c(cTab.ttt[i,]$ci0,cTab.ttt[i,]$ci1))
ggplot(plotTab, aes(x=model, y=cindex, fill = model)) +
geom_bar(stat="identity",width=0.8) +
geom_errorbar(aes(ymin=cindex + ci, ymax = cindex-ci), width=0.5) +
ggtitle(cTab.ttt[i,]$name) + theme(legend.position = "none") +
ylab("Harrell's C-index")
})
plot_grid(plotlist = plotList, ncol =3)

| Version | Author | Date |
|---|---|---|
| b8e0823 | Junyan Lu | 2020-03-10 |
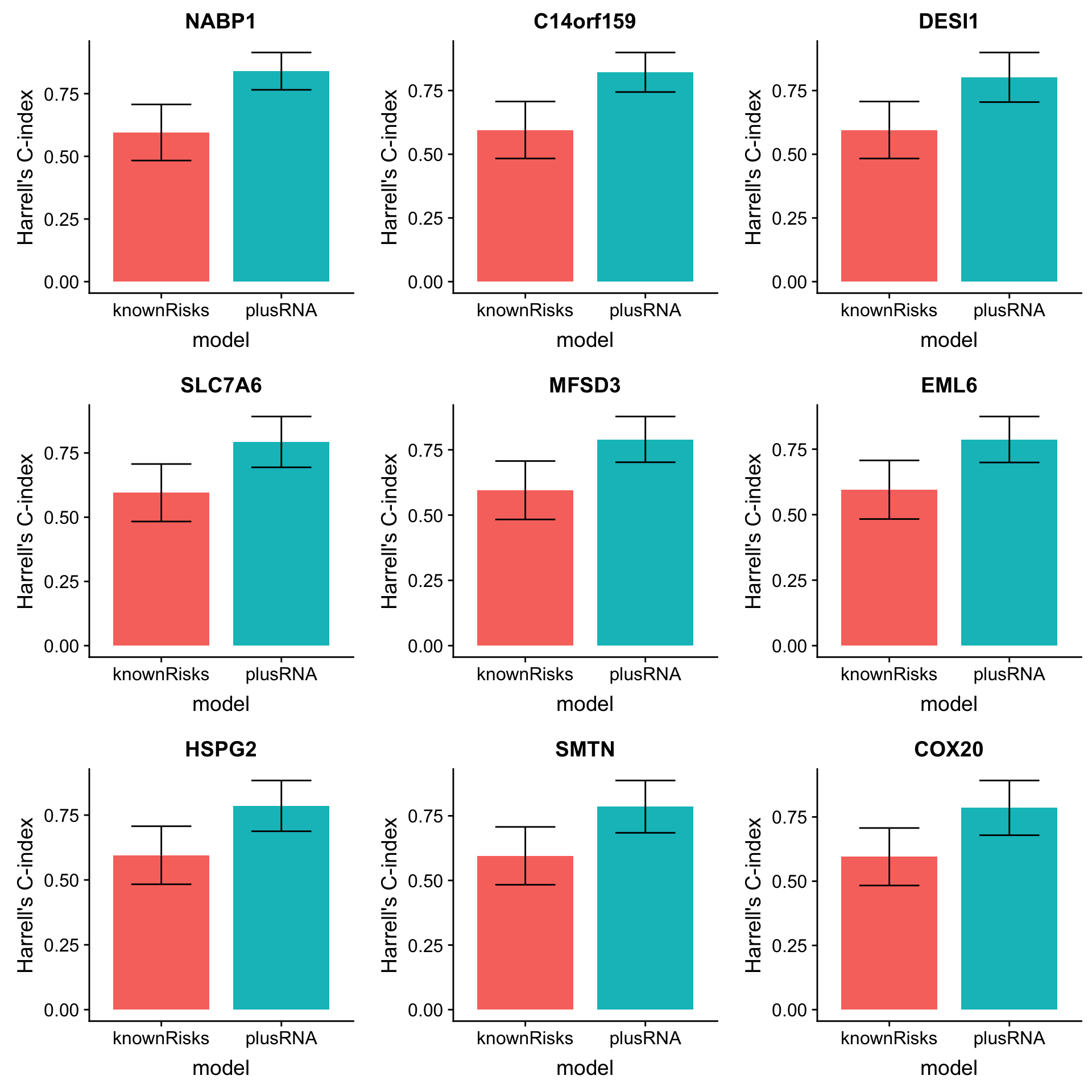
cTab.os <- lapply(filter(uniRes.os, p<=0.05)$id, function(n) {
risk0 <- riskTab
risk1 <- riskTab %>% mutate(protExpr = protMat[n,patientID])
res0 <- summary(runCox(survTab, risk0, "OS","died"))
res1 <- tryCatch({
summary(runCox(survTab, risk1, "OS","died"))
}, error = function(err) {
list(concordance = c(NA,NA))
})
tibble(id = n, c0 = res0$concordance[1], c1 = res1$concordance[1],
se0 = res0$concordance[2],se1 = res1$concordance[2],
ci0 = se0*1.96, ci1 = se1*1.96)
}) %>% bind_rows() %>% mutate(diffC = c1-c0) %>%
arrange(desc(diffC)) %>%
mutate(name=rowData(protCLL[id,])$hgnc_symbol)
Plot top 9 candidates
plotList <- lapply(1:9, function(i) {
plotTab <- tibble(model = c("knownRisks","plusProtein"),
cindex = c(cTab.os[i,]$c0, cTab.os[i,]$c1),
ci = c(cTab.os[i,]$ci0,cTab.os[i,]$ci1))
ggplot(plotTab, aes(x=model, y=cindex, fill = model)) +
geom_bar(stat="identity",width=0.8) +
geom_errorbar(aes(ymin=cindex + ci, ymax = cindex-ci), width=0.5) +
ggtitle(cTab.os[i,]$name) + theme(legend.position = "none") +
ylab("Harrell's C-index")
})
plot_grid(plotlist = plotList, ncol =3)

| Version | Author | Date |
|---|---|---|
| b8e0823 | Junyan Lu | 2020-03-10 |
Prepare survival table
#table of known risks
survTab <- survT %>%
select(patID,sampleID, OS, died, TTT, treatedAfter) %>%
dplyr::rename(patientID = patID) %>%
filter(!(is.na(OS) &is.na(TTT)))
Processing RNAseq data
load("../../var/ddsrna_180717.RData")
ddsSub <- dds[,dds$diag %in% "CLL" & dds$PatID %in% survTab$patientID]
#ddsSub <- ddsSub[rowData(ddsSub)$symbol %in% rowData(protCLL)$hgnc_symbol,]
ddsSub <- ddsSub[!rowData(ddsSub)$symbol %in% c(NA,"")]
ddsSub <- ddsSub[rowData(ddsSub)$biotype %in% "protein_coding"]
ddsSub <- ddsSub[!rowData(ddsSub)$chromosome %in% c("X","Y"),]
ddsSub <- ddsSub[rowSums(counts(ddsSub, normalized = TRUE)) > 100, ]
ddsSub.vst <- varianceStabilizingTransformation(ddsSub)
sds <- genefilter::rowSds(assay(ddsSub.vst))
ddsSub.vst <- ddsSub.vst[sds > genefilter::shorth(sds),]
rnaMat <- assay(ddsSub.vst)
rownames(rnaMat) <- rowData(ddsSub.vst)$symbol
survTab.rna <- filter(survTab, sampleID %in% ddsSub.vst$sampleID)
rnaUniRes <- list()
rnaUniRes[["full"]] <- list()
rnaUniRes[["full"]][["TTT"]] <- lapply(rownames(rnaMat), function(n) {
testTab <- mutate(survTab.rna, expr = rnaMat[n, patientID])
com(testTab$expr, testTab$TTT, testTab$treatedAfter, TRUE) %>%
mutate(name = n)
}) %>% bind_rows() %>% mutate(p.adj = p.adjust(p, method = "BH")) %>%
arrange(p)
rnaUniRes[["full"]][["OS"]] <- lapply(rownames(rnaMat), function(n) {
testTab <- mutate(survTab.rna, expr = rnaMat[n, patientID])
com(testTab$expr, testTab$OS, testTab$died, TRUE) %>%
mutate(name = n)
}) %>% bind_rows() %>% mutate(p.adj = p.adjust(p, method = "BH")) %>%
arrange(p)
P-value histogram
plotTab <- mutate(rnaUniRes$full$TTT, outcome = "TTT") %>% bind_rows(mutate(rnaUniRes$full$OS, outcome = "OS"))
ggplot(plotTab, aes(x=p, fill = outcome)) + geom_histogram(bins = 50) + facet_wrap(~outcome, scale = "free") +
theme(legend.position = "none")+ xlim(0,1)
Warning: Removed 4 rows containing missing values (geom_bar).

| Version | Author | Date |
|---|---|---|
| b8e0823 | Junyan Lu | 2020-03-10 |
Prepare table for known genomic risks
riskTab.rna <- select(survTab.rna, patientID, sampleID) %>%
left_join(patMeta[,c("Patient.ID","IGHV.status","TP53","trisomy12","del17p","gender")], by = c(patientID = "Patient.ID")) %>%
mutate(TP53 = as.numeric(as.character(TP53)),
del17p = as.numeric(as.character(del17p))) %>%
mutate(`TP53.del17p` = as.numeric(TP53 | del17p)) %>%
select(-TP53, -del17p) %>%
mutate_if(is.numeric, as.factor) %>%
mutate(age = ageTab[match(sampleID, ageTab$sampleID),]$age) %>%
dplyr::rename(sex=gender) %>%
mutate(age = age/10) %>% select(-sampleID)
rnaMultiRes <- list()
rnaMultiRes[["full"]] <- list()
rnaMultiRes[["full"]][["TTT"]] <- lapply(filter(rnaUniRes[["full"]][["TTT"]], p<=0.05)$name, function(n) {
risk0 <- riskTab.rna
risk1 <- riskTab.rna %>% mutate(protExpr = rnaMat[n,patientID])
res0 <- summary(runCox(survTab.rna, risk0, "TTT","treatedAfter"))
res1 <- summary(runCox(survTab.rna, risk1, "TTT","treatedAfter"))
tibble(name = n, c0 = res0$concordance[1], c1 = res1$concordance[1],
se0 = res0$concordance[2],se1 = res1$concordance[2],
ci0 = se0*1.96, ci1 = se1*1.96)
}) %>% bind_rows() %>% mutate(diffC = c1-c0) %>%
arrange(desc(diffC))
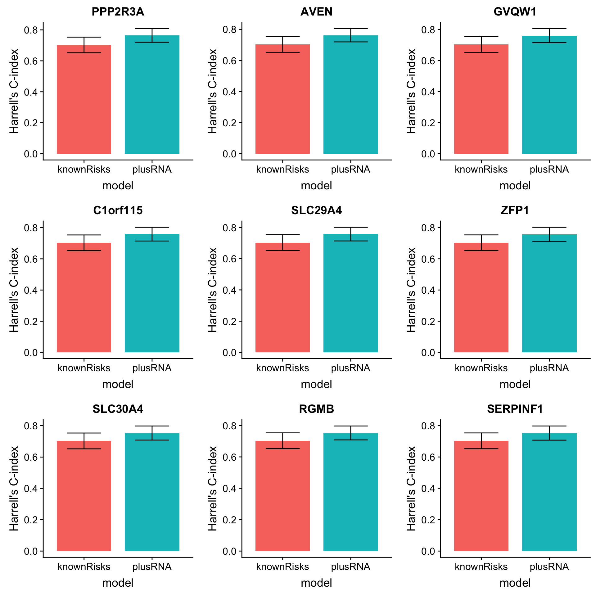
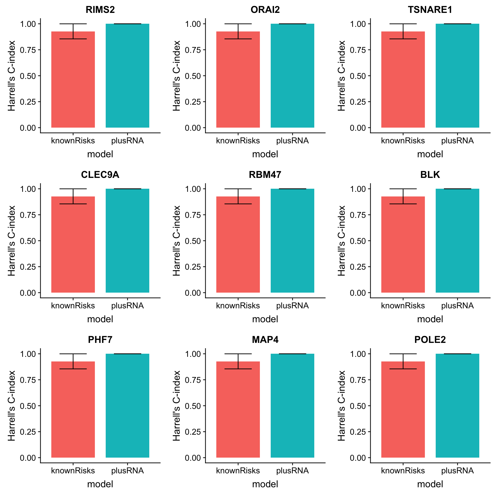
Plot top 9 candidates
plotList <- lapply(1:9, function(i) {
plotTab <- tibble(model = c("knownRisks","plusRNA"),
cindex = c(rnaMultiRes[["full"]][["TTT"]][i,]$c0, rnaMultiRes[["full"]][["TTT"]][i,]$c1),
ci = c(rnaMultiRes[["full"]][["TTT"]][i,]$ci0,rnaMultiRes[["full"]][["TTT"]][i,]$ci1))
ggplot(plotTab, aes(x=model, y=cindex, fill = model)) +
geom_bar(stat="identity",width=0.8) +
geom_errorbar(aes(ymin=cindex + ci, ymax = cindex-ci), width=0.5) +
ggtitle(rnaMultiRes[["full"]][["TTT"]][i,]$name) + theme(legend.position = "none") +
ylab("Harrell's C-index")
})
plot_grid(plotlist = plotList, ncol =3)

| Version | Author | Date |
|---|---|---|
| b8e0823 | Junyan Lu | 2020-03-10 |
rnaMultiRes[["full"]][["OS"]] <- lapply(filter(rnaUniRes[["full"]][["OS"]], p<=0.05)$name, function(n) {
risk0 <- riskTab.rna
risk1 <- riskTab.rna %>% mutate(protExpr = rnaMat[n,patientID])
res0 <- summary(runCox(survTab.rna, risk0, "OS","died"))
res1 <- summary(runCox(survTab.rna, risk1, "OS","died"))
tibble(name = n, c0 = res0$concordance[1], c1 = res1$concordance[1],
se0 = res0$concordance[2],se1 = res1$concordance[2],
ci0 = se0*1.96, ci1 = se1*1.96)
}) %>% bind_rows() %>% mutate(diffC = c1-c0) %>%
arrange(desc(diffC))
Plot top 9 candidates
plotList <- lapply(1:9, function(i) {
plotTab <- tibble(model = c("knownRisks","plusRNA"),
cindex = c(rnaMultiRes[["full"]][["OS"]][i,]$c0, rnaMultiRes[["full"]][["OS"]][i,]$c1),
ci = c(rnaMultiRes[["full"]][["OS"]][i,]$ci0,rnaMultiRes[["full"]][["OS"]][i,]$ci1))
ggplot(plotTab, aes(x=model, y=cindex, fill = model)) +
geom_bar(stat="identity",width=0.8) +
geom_errorbar(aes(ymin=cindex + ci, ymax = cindex-ci), width=0.5) +
ggtitle(rnaMultiRes[["full"]][["OS"]][i,]$name) + theme(legend.position = "none") +
ylab("Harrell's C-index")
})
plot_grid(plotlist = plotList, ncol =3)

| Version | Author | Date |
|---|---|---|
| b8e0823 | Junyan Lu | 2020-03-10 |
rnaMat <- rnaMat[,colnames(rnaMat) %in% colnames(protCLL)]
survTab.rna <- filter(survTab.rna, patientID %in% colnames(rnaMat))
rnaUniRes[["subset"]] <- list()
rnaUniRes[["subset"]][["TTT"]] <- lapply(rownames(rnaMat), function(n) {
testTab <- mutate(survTab.rna, expr = rnaMat[n, patientID])
com(testTab$expr, testTab$TTT, testTab$treatedAfter, TRUE) %>%
mutate(name = n)
}) %>% bind_rows() %>% mutate(p.adj = p.adjust(p, method = "BH")) %>%
arrange(p)
rnaUniRes[["subset"]][["OS"]] <- lapply(rownames(rnaMat), function(n) {
testTab <- mutate(survTab.rna, expr = rnaMat[n, patientID])
com(testTab$expr, testTab$OS, testTab$died, TRUE) %>%
mutate(name = n)
}) %>% bind_rows() %>% mutate(p.adj = p.adjust(p, method = "BH")) %>%
arrange(p)
P-value histogram
plotTab <- mutate(rnaUniRes$subset$TTT, outcome = "TTT") %>% bind_rows(mutate(rnaUniRes$subset$OS, outcome = "OS"))
ggplot(plotTab, aes(x=p, fill = outcome)) + geom_histogram(bins = 50) + facet_wrap(~outcome, scale = "free") +
theme(legend.position = "none")+ xlim(0,1)
Warning: Removed 4 rows containing missing values (geom_bar).

| Version | Author | Date |
|---|---|---|
| b8e0823 | Junyan Lu | 2020-03-10 |
Prepare table for known genomic risks
riskTab.rna <- select(survTab.rna, patientID, sampleID) %>%
left_join(patMeta[,c("Patient.ID","IGHV.status","TP53","trisomy12","del17p","gender")], by = c(patientID = "Patient.ID")) %>%
mutate(TP53 = as.numeric(as.character(TP53)),
del17p = as.numeric(as.character(del17p))) %>%
mutate(`TP53.del17p` = as.numeric(TP53 | del17p)) %>%
select(-TP53, -del17p) %>%
mutate_if(is.numeric, as.factor) %>%
mutate(age = ageTab[match(sampleID, ageTab$sampleID),]$age) %>%
dplyr::rename(sex=gender) %>%
mutate(age = age/10) %>% select(-sampleID)
rnaMultiRes[["subset"]] <- list()
rnaMultiRes[["subset"]][["TTT"]] <- lapply(filter(rnaUniRes[["subset"]][["TTT"]], p<=0.05)$name, function(n) {
risk0 <- riskTab.rna
risk1 <- riskTab.rna %>% mutate(protExpr = rnaMat[n,patientID])
res0 <- summary(runCox(survTab.rna, risk0, "TTT","treatedAfter"))
res1 <- summary(runCox(survTab.rna, risk1, "TTT","treatedAfter"))
tibble(name = n, c0 = res0$concordance[1], c1 = res1$concordance[1],
se0 = res0$concordance[2],se1 = res1$concordance[2],
ci0 = se0*1.96, ci1 = se1*1.96)
}) %>% bind_rows() %>% mutate(diffC = c1-c0) %>%
arrange(desc(diffC))
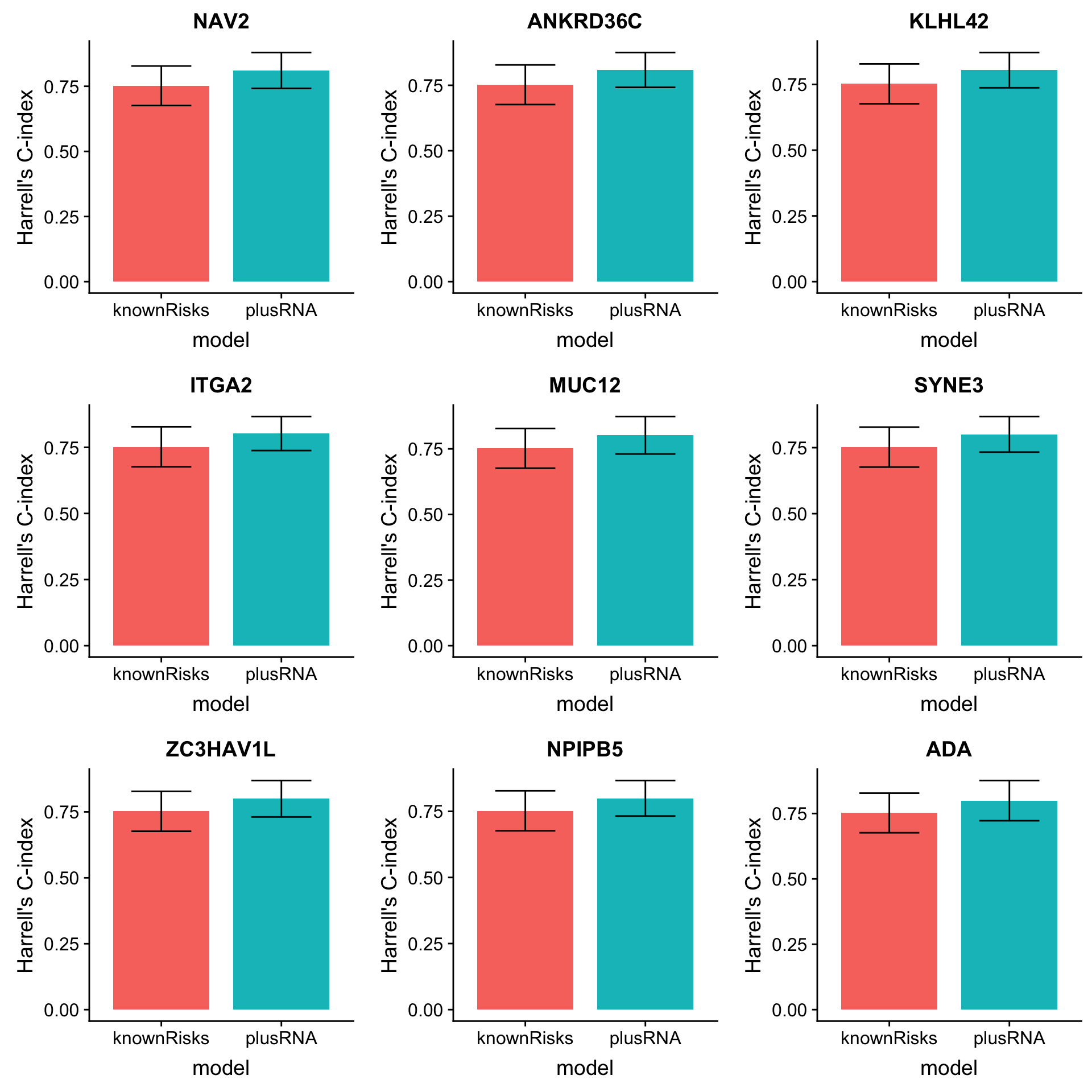
Plot top 9 candidates
plotList <- lapply(1:9, function(i) {
plotTab <- tibble(model = c("knownRisks","plusRNA"),
cindex = c(rnaMultiRes[["subset"]][["TTT"]][i,]$c0, rnaMultiRes[["subset"]][["TTT"]][i,]$c1),
ci = c(rnaMultiRes[["subset"]][["TTT"]][i,]$ci0,rnaMultiRes[["subset"]][["TTT"]][i,]$ci1))
ggplot(plotTab, aes(x=model, y=cindex, fill = model)) +
geom_bar(stat="identity",width=0.8) +
geom_errorbar(aes(ymin=cindex + ci, ymax = cindex-ci), width=0.5) +
ggtitle(rnaMultiRes[["subset"]][["TTT"]][i,]$name) + theme(legend.position = "none") +
ylab("Harrell's C-index")
})
plot_grid(plotlist = plotList, ncol =3)

| Version | Author | Date |
|---|---|---|
| b8e0823 | Junyan Lu | 2020-03-10 |
rnaMultiRes[["subset"]][["OS"]] <- lapply(filter(rnaUniRes[["subset"]][["OS"]], p<=0.05)$name, function(n) {
tryCatch({
risk0 <- riskTab.rna
risk1 <- riskTab.rna %>% mutate(protExpr = rnaMat[n,patientID])
res0 <- summary(runCox(survTab.rna, risk0, "OS","died"))
res1 <- summary(runCox(survTab.rna, risk1, "OS","died"))
tibble(name = n, c0 = res0$concordance[1], c1 = res1$concordance[1],
se0 = res0$concordance[2],se1 = res1$concordance[2],
ci0 = se0*1.96, ci1 = se1*1.96)
}, error=function(cond) {
tibble(name = NA, c0 = NA, c1 = NA,
se0 = NA,se1 = NA,
ci0 = se0*1.96, ci1 = se1*1.96)
})
}) %>% bind_rows() %>% mutate(diffC = c1-c0) %>%
arrange(desc(diffC))
Plot top 9 candidates
plotList <- lapply(1:9, function(i) {
plotTab <- tibble(model = c("knownRisks","plusRNA"),
cindex = c(rnaMultiRes[["subset"]][["OS"]][i,]$c0, rnaMultiRes[["subset"]][["OS"]][i,]$c1),
ci = c(rnaMultiRes[["subset"]][["OS"]][i,]$ci0,rnaMultiRes[["subset"]][["OS"]][i,]$ci1))
ggplot(plotTab, aes(x=model, y=cindex, fill = model)) +
geom_bar(stat="identity",width=0.8) +
geom_errorbar(aes(ymin=cindex + ci, ymax = cindex-ci), width=0.5) +
ggtitle(rnaMultiRes[["subset"]][["OS"]][i,]$name) + theme(legend.position = "none") +
ylab("Harrell's C-index")
})
plot_grid(plotlist = plotList, ncol =3)

| Version | Author | Date |
|---|---|---|
| b8e0823 | Junyan Lu | 2020-03-10 |
plotTab.ttt <- bind_rows(select(cTab.ttt, name, diffC) %>% mutate(dataset = "Protein"),
select(rnaMultiRes$full$TTT, name, diffC) %>% mutate(dataset = "RNA_full"),
select(rnaMultiRes$subset$TTT, name, diffC) %>% mutate(dataset = "RNA_subset"))
ggplot(plotTab.ttt, aes(x=diffC, fill = dataset)) + geom_histogram(col = "grey50", alpha = 0.5, position = "identity")+
xlab("Information gain to predict outcome")
`stat_bin()` using `bins = 30`. Pick better value with `binwidth`.

| Version | Author | Date |
|---|---|---|
| b8e0823 | Junyan Lu | 2020-03-10 |
plotTab.os <- bind_rows(select(cTab.os, name, diffC) %>% mutate(dataset = "Protein"),
select(rnaMultiRes$full$OS, name, diffC) %>% mutate(dataset = "RNA_full"),
select(rnaMultiRes$subset$OS, name, diffC) %>% mutate(dataset = "RNA_subset"))
ggplot(plotTab.os, aes(x=diffC, fill = dataset)) + geom_histogram(col = "grey50", alpha = 0.5, position = "identity") +
xlab("Information gain to predict outcome")
`stat_bin()` using `bins = 30`. Pick better value with `binwidth`.
Warning: Removed 10 rows containing non-finite values (stat_bin).

| Version | Author | Date |
|---|---|---|
| b8e0823 | Junyan Lu | 2020-03-10 |
Overall, proteomic dataset does not have advantage over RNAseq dataset for predicting outcome in multi-vairate model
Processing RNAseq data
ddsSub <- dds[,dds$diag %in% "CLL"]
ddsSub <- ddsSub[rowData(ddsSub)$symbol %in% rowData(protCLL)$hgnc_symbol,]
ddsSub <- ddsSub[rowSums(counts(ddsSub, normalized = TRUE)) > 10, ]
ddsSub.vst <- varianceStabilizingTransformation(ddsSub)
rnaMat <- assay(ddsSub.vst)
rownames(rnaMat) <- rowData(ddsSub.vst)$symbol
Prepare risk table
#table of known risks
survTab <- survT %>% filter(sampleID %in% ddsSub$sampleID) %>%
select(patID,sampleID, OS, died, TTT, treatedAfter) %>%
dplyr::rename(patientID = patID)
riskTab <- select(survTab, patientID, sampleID) %>%
left_join(patMeta[,c("Patient.ID","IGHV.status","TP53","trisomy12","del17p","gender")], by = c(patientID = "Patient.ID")) %>%
mutate(TP53 = as.numeric(as.character(TP53)),
del17p = as.numeric(as.character(del17p))) %>%
mutate(`TP53.del17p` = as.numeric(TP53 | del17p)) %>%
select(-TP53, -del17p) %>%
mutate_if(is.numeric, as.factor) %>%
mutate(age = ageTab[match(sampleID, ageTab$sampleID),]$age) %>%
dplyr::rename(sex=gender) %>%
mutate(age = age/10) %>% select(-sampleID)
Test if RNA expression also adds information
rnaTab.ttt <- lapply(filter(uniRes.ttt, p<=0.05)$name, function(n) {
if (n %in% rownames(rnaMat)) {
risk0 <- riskTab
risk1 <- riskTab %>% mutate(protExpr = rnaMat[n,patientID])
res0 <- summary(runCox(survTab, risk0, "TTT","treatedAfter"))
res1 <- summary(runCox(survTab, risk1, "TTT","treatedAfter"))
tibble(name = n, c0 = res0$concordance[1], c1 = res1$concordance[1],
se0 = res0$concordance[2],se1 = res1$concordance[2],
ci0 = se0*1.96, ci1 = se1*1.96)
} else {
tibble(id=n, c0 =NA, c1 = NA, se0 = NA, se1 = NA,
ci0 = NA, ci1=NA)
}
}) %>% bind_rows() %>% mutate(diffC = c1-c0) %>%
arrange(desc(diffC)) %>%
mutate(diffC = ifelse(is.na(diffC),0,diffC))
Compare with protein data
topList.ttt <- list(rna = arrange(rnaTab.ttt, desc(diffC))$name[1:20],
prot = arrange(cTab.ttt, desc(diffC))$name[1:20])
compareTab.ttt <- select(cTab.ttt, name, diffC) %>% dplyr::rename(diffProt = diffC) %>%
left_join(select(rnaTab.ttt, name, diffC) %>% dplyr::rename(diffRNA = diffC)) %>%
mutate(group = case_when(
name %in% topList.ttt$rna & !name %in% topList.ttt$prot ~ "rnaOnly",
name %in% topList.ttt$prot & !name %in% topList.ttt$rna ~ "proteinOnly",
name %in% topList.ttt$rna & name %in% topList.ttt$prot ~ "both",
TRUE ~ "none"
))
Joining, by = "name"
ggplot(compareTab.ttt, aes(x=diffProt, y =diffRNA)) + geom_point(aes(col = group)) +
ggrepel::geom_text_repel(data = filter(compareTab.ttt, group != "none"), aes(label = name)) +
scale_color_manual(values = c(rnaOnly = "green", proteinOnly = "blue", both = "red", none = "grey50")) +
ylab("Information gain by including RNA expression") +
xlab("Information gain by including protein expression")
Warning: Removed 24 rows containing missing values (geom_point).
Warning: Removed 1 rows containing missing values (geom_text_repel).

| Version | Author | Date |
|---|---|---|
| b8e0823 | Junyan Lu | 2020-03-10 |
Top 20 RNA candidates are colored by greed. Top 20 protein candidates are colored by red. Overlapped candidates are colored by red.
Test if RNA expression also adds information
rnaTab.os <- lapply(filter(uniRes.os, p<=0.05)$name, function(n) {
if (n %in% rownames(rnaMat)) {
risk0 <- riskTab
risk1 <- riskTab %>% mutate(protExpr = rnaMat[n,patientID])
res0 <- summary(runCox(survTab, risk0, "OS","died"))
res1 <- summary(runCox(survTab, risk1, "OS","died"))
tibble(name = n, c0 = res0$concordance[1], c1 = res1$concordance[1],
se0 = res0$concordance[2],se1 = res1$concordance[2],
ci0 = se0*1.96, ci1 = se1*1.96)
} else {
tibble(id=n, c0 =NA, c1 = NA, se0 = NA, se1 = NA,
ci0 = NA, ci1=NA)
}
}) %>% bind_rows() %>% mutate(diffC = c1-c0) %>%
arrange(desc(diffC)) %>%
mutate(diffC = ifelse(is.na(diffC),0,diffC))
Compare with protein data
topList.os <- list(rna = arrange(rnaTab.os, desc(diffC))$name[1:20],
prot = arrange(cTab.os, desc(diffC))$name[1:20])
compareTab.os <- select(cTab.os, name, diffC) %>% dplyr::rename(diffProt = diffC) %>%
left_join(select(rnaTab.os, name, diffC) %>% dplyr::rename(diffRNA = diffC)) %>%
mutate(group = case_when(
name %in% topList.os$rna & !name %in% topList.os$prot ~ "rnaOnly",
name %in% topList.os$prot & !name %in% topList.os$rna ~ "proteinOnly",
name %in% topList.os$rna & name %in% topList.os$prot ~ "both",
TRUE ~ "none"
))
Joining, by = "name"
ggplot(compareTab.os, aes(x=diffProt, y =diffRNA)) + geom_point(aes(col = group)) +
ggrepel::geom_text_repel(data = filter(compareTab.os, group != "none"), aes(label = name)) +
scale_color_manual(values = c(rnaOnly = "green", proteinOnly = "blue", both = "red", none = "grey50")) +
ylab("Information gain by including RNA expression") +
xlab("Information gain by including protein expression")
Warning: Removed 6 rows containing missing values (geom_point).

| Version | Author | Date |
|---|---|---|
| b8e0823 | Junyan Lu | 2020-03-10 |
Top 20 RNA candidates are colored by greed. Top 20 protein candidates are colored by red. Overlapped candidates are colored by red.
sessionInfo()
R version 3.6.0 (2019-04-26)
Platform: x86_64-apple-darwin15.6.0 (64-bit)
Running under: macOS 10.15.4
Matrix products: default
BLAS: /Library/Frameworks/R.framework/Versions/3.6/Resources/lib/libRblas.0.dylib
LAPACK: /Library/Frameworks/R.framework/Versions/3.6/Resources/lib/libRlapack.dylib
locale:
[1] en_US.UTF-8/en_US.UTF-8/en_US.UTF-8/C/en_US.UTF-8/en_US.UTF-8
attached base packages:
[1] parallel stats4 stats graphics grDevices utils datasets
[8] methods base
other attached packages:
[1] latex2exp_0.4.0 forcats_0.4.0
[3] stringr_1.4.0 dplyr_0.8.5
[5] purrr_0.3.3 readr_1.3.1
[7] tidyr_1.0.0 tibble_3.0.0
[9] tidyverse_1.3.0 DESeq2_1.24.0
[11] SummarizedExperiment_1.14.0 DelayedArray_0.10.0
[13] BiocParallel_1.18.0 matrixStats_0.54.0
[15] Biobase_2.44.0 GenomicRanges_1.36.0
[17] GenomeInfoDb_1.20.0 IRanges_2.18.1
[19] S4Vectors_0.22.0 BiocGenerics_0.30.0
[21] maxstat_0.7-25 glmnet_2.0-18
[23] foreach_1.4.4 Matrix_1.2-17
[25] survminer_0.4.4 ggpubr_0.2.1
[27] magrittr_1.5 survival_2.44-1.1
[29] jyluMisc_0.1.5 pheatmap_1.0.12
[31] cowplot_0.9.4 ggplot2_3.3.0
[33] limma_3.40.2
loaded via a namespace (and not attached):
[1] utf8_1.1.4 shinydashboard_0.7.1 tidyselect_1.0.0
[4] RSQLite_2.1.1 AnnotationDbi_1.46.0 htmlwidgets_1.3
[7] grid_3.6.0 munsell_0.5.0 codetools_0.2-16
[10] DT_0.7 withr_2.1.2 colorspace_1.4-1
[13] knitr_1.23 rstudioapi_0.10 ggsignif_0.5.0
[16] labeling_0.3 git2r_0.26.1 slam_0.1-45
[19] GenomeInfoDbData_1.2.1 KMsurv_0.1-5 bit64_0.9-7
[22] farver_2.0.3 rprojroot_1.3-2 vctrs_0.2.4
[25] generics_0.0.2 TH.data_1.0-10 xfun_0.8
[28] sets_1.0-18 R6_2.4.0 locfit_1.5-9.1
[31] bitops_1.0-6 fgsea_1.10.0 assertthat_0.2.1
[34] promises_1.0.1 scales_1.1.0 multcomp_1.4-10
[37] nnet_7.3-12 gtable_0.3.0 sandwich_2.5-1
[40] workflowr_1.6.0 rlang_0.4.5 genefilter_1.66.0
[43] cmprsk_2.2-8 splines_3.6.0 acepack_1.4.1
[46] broom_0.5.2 checkmate_2.0.0 yaml_2.2.0
[49] abind_1.4-5 modelr_0.1.5 crosstalk_1.0.0
[52] backports_1.1.4 httpuv_1.5.1 Hmisc_4.2-0
[55] tools_3.6.0 relations_0.6-8 ellipsis_0.2.0
[58] gplots_3.0.1.1 RColorBrewer_1.1-2 Rcpp_1.0.1
[61] base64enc_0.1-3 visNetwork_2.0.7 zlibbioc_1.30.0
[64] RCurl_1.95-4.12 rpart_4.1-15 zoo_1.8-6
[67] ggrepel_0.8.1 haven_2.2.0 cluster_2.1.0
[70] exactRankTests_0.8-30 fs_1.4.0 data.table_1.12.2
[73] openxlsx_4.1.0.1 reprex_0.3.0 mvtnorm_1.0-11
[76] whisker_0.3-2 hms_0.5.2 shinyjs_1.0
[79] mime_0.7 evaluate_0.14 xtable_1.8-4
[82] XML_3.98-1.20 rio_0.5.16 readxl_1.3.1
[85] gridExtra_2.3 compiler_3.6.0 KernSmooth_2.23-15
[88] crayon_1.3.4 htmltools_0.4.0 later_0.8.0
[91] Formula_1.2-3 geneplotter_1.62.0 lubridate_1.7.4
[94] DBI_1.0.0 dbplyr_1.4.2 MASS_7.3-51.4
[97] car_3.0-3 cli_1.1.0 marray_1.62.0
[100] gdata_2.18.0 igraph_1.2.4.1 pkgconfig_2.0.2
[103] km.ci_0.5-2 foreign_0.8-71 piano_2.0.2
[106] xml2_1.2.2 annotate_1.62.0 XVector_0.24.0
[109] drc_3.0-1 rvest_0.3.5 digest_0.6.19
[112] rmarkdown_1.13 cellranger_1.1.0 fastmatch_1.1-0
[115] survMisc_0.5.5 htmlTable_1.13.1 curl_3.3
[118] shiny_1.3.2 gtools_3.8.1 lifecycle_0.2.0
[121] nlme_3.1-140 jsonlite_1.6 carData_3.0-2
[124] fansi_0.4.0 pillar_1.4.3 lattice_0.20-38
[127] httr_1.4.1 plotrix_3.7-6 glue_1.3.2
[130] zip_2.0.2 iterators_1.0.10 bit_1.1-14
[133] stringi_1.4.3 blob_1.1.1 latticeExtra_0.6-28
[136] caTools_1.17.1.2 memoise_1.1.0