Last updated: 2024-05-24
Checks: 4 2
Knit directory: RA_Tcell_omics/analysis/
This reproducible R Markdown analysis was created with workflowr (version 1.7.0). The Checks tab describes the reproducibility checks that were applied when the results were created. The Past versions tab lists the development history.
Great job! The global environment was empty. Objects defined in the global environment can affect the analysis in your R Markdown file in unknown ways. For reproduciblity it’s best to always run the code in an empty environment.
The command set.seed(20221110) was run prior to running
the code in the R Markdown file. Setting a seed ensures that any results
that rely on randomness, e.g. subsampling or permutations, are
reproducible.
Great job! Recording the operating system, R version, and package versions is critical for reproducibility.
To ensure reproducibility of the results, delete the cache directory
Keto_diet_analysis_cache and re-run the analysis. To have
workflowr automatically delete the cache directory prior to building the
file, set delete_cache = TRUE when running
wflow_build() or wflow_publish().
Great job! Using relative paths to the files within your workflowr project makes it easier to run your code on other machines.
Tracking code development and connecting the code version to the
results is critical for reproducibility. To start using Git, open the
Terminal and type git init in your project directory.
This project is not being versioned with Git. To obtain the full
reproducibility benefits of using workflowr, please see
?wflow_start.
Global variables
Load omics data
Remove CpGs from Y chromosomes
To increase statistic power by reducing number of test and increase intepretability
Find GC probs in the enhancer region
[1] 82147 40
Calculate PCA
PCA plots
PC1 versus PC2

PC3 versus PC4

Use combat to remove patient specific effect
Calculate PCA
PCA plots
PC1 versus PC2

After adjust for patient specific effect, the time point effect can be clearly seen as PC1
PC3 versus PC4

Sample size
, , = ns
d0 d12
Disease_CNT 3 3
RA 7 7
, , = st
d0 d12
Disease_CNT 3 3
RA 7 7
For comparisons in RA: 7 versus 7, for comparisons disease CNT: 3 versus 3. The statistical power could be a problem
Subset
Perform differential methylation using limma
Subset
Perform differential methylation using limma
Subset
Perform differential methylation using limma
Subset
Perform differential methylation using limma
Subset
Perform differential methylation using limma
Subset
Perform differential methylation using limma
Subset
Perform differential methylation using limma
Subset
Perform differential methylation using limma
Subset
Perform differential methylation using limma
Subset
Perform differential methylation using limma
Subset
Perform differential methylation using limma
Subset
Perform differential methylation using limma
If the p-value histogram has a peak on the left, it indicates
there’s more like a real difference. If the histogram is largely flat,
perhaps the difference is not strong









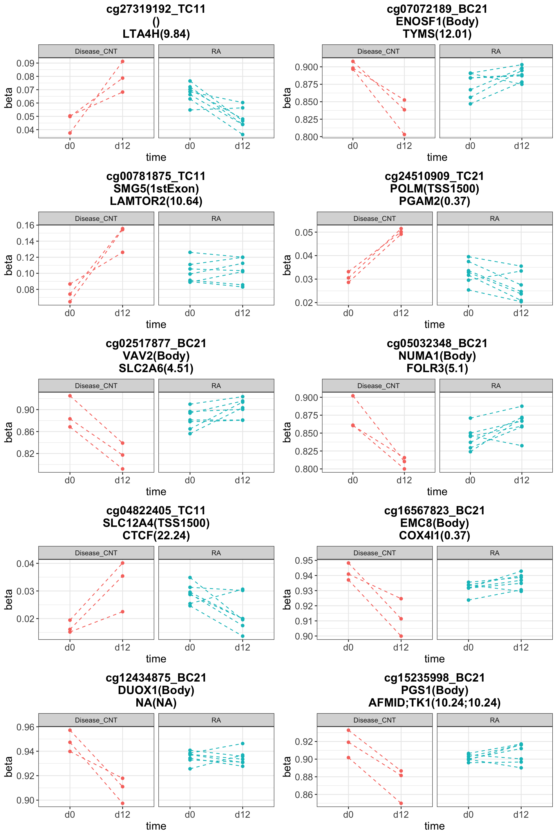
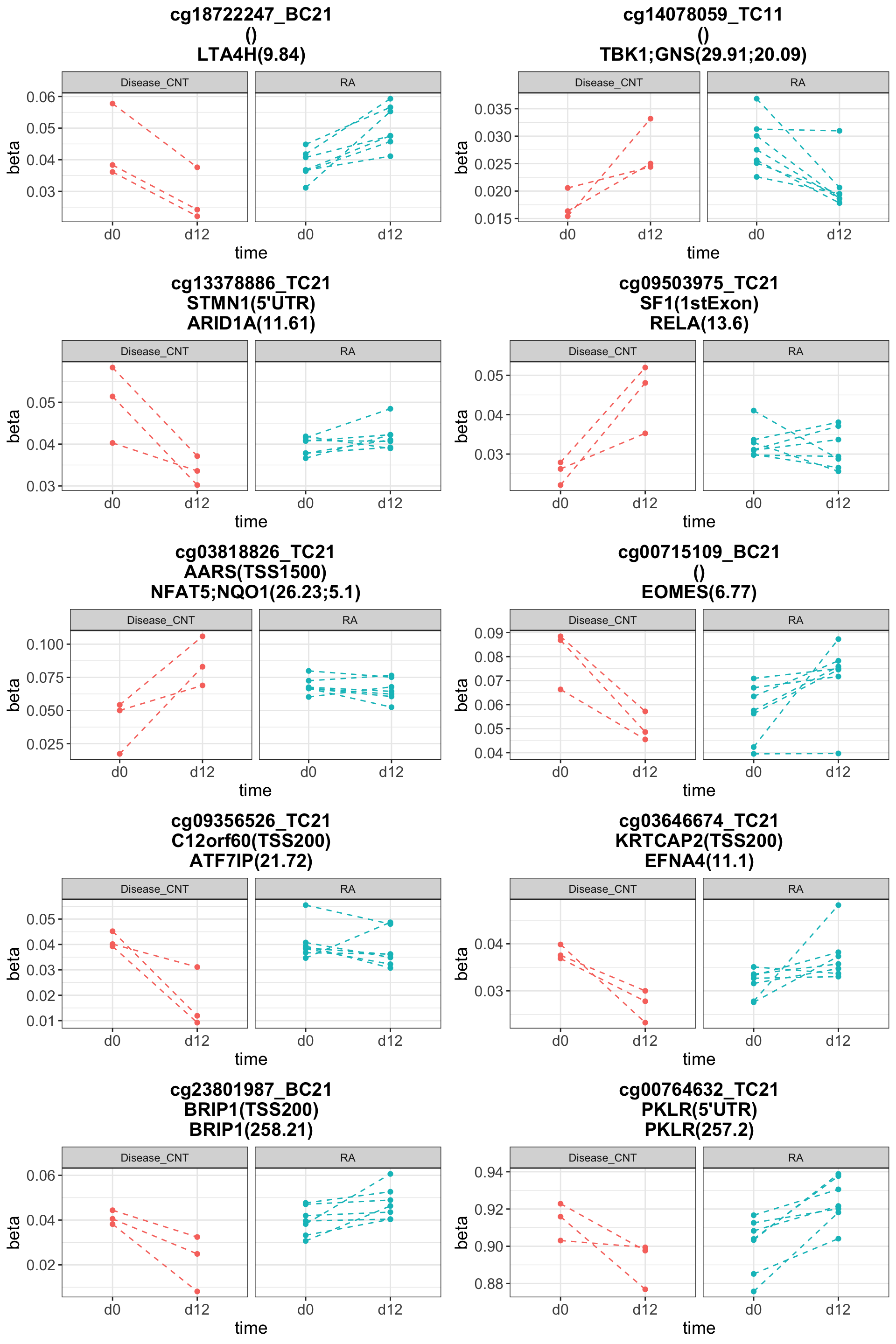
In the above plots, the first line in the title is the
mehtylation CpG id, the second line is the gene and gene region
annotations from Epic methylation array, the third line is the
annotations from GeneEnhancer. The number in the parenthesis is the
enhancer score, the higher the more confident.
