Last updated: 2024-04-08
Checks: 5 1
Knit directory: RA_Tcell_omics/analysis/
This reproducible R Markdown analysis was created with workflowr (version 1.7.0). The Checks tab describes the reproducibility checks that were applied when the results were created. The Past versions tab lists the development history.
Great job! The global environment was empty. Objects defined in the global environment can affect the analysis in your R Markdown file in unknown ways. For reproduciblity it’s best to always run the code in an empty environment.
The command set.seed(20221110) was run prior to running
the code in the R Markdown file. Setting a seed ensures that any results
that rely on randomness, e.g. subsampling or permutations, are
reproducible.
Great job! Recording the operating system, R version, and package versions is critical for reproducibility.
Nice! There were no cached chunks for this analysis, so you can be confident that you successfully produced the results during this run.
Great job! Using relative paths to the files within your workflowr project makes it easier to run your code on other machines.
Tracking code development and connecting the code version to the
results is critical for reproducibility. To start using Git, open the
Terminal and type git init in your project directory.
This project is not being versioned with Git. To obtain the full
reproducibility benefits of using workflowr, please see
?wflow_start.
Global variables
Load omics data
Get unique symbol
Remove probes on sex chromosomes
Remove CpGs not associated with known genes

Two Sample t-test
data: meanMethylation by group
t = 1.3468, df = 21, p-value = 0.1924
alternative hypothesis: true difference in means between group Control and group RA is not equal to 0
95 percent confidence interval:
-0.003516213 0.016440056
sample estimates:
mean in group Control mean in group RA
0.5630603 0.5565984
On the overall methylation level, there’s no strong trend that RA samples have higher methylation.
Calculate PCA
PCA plots
PC1 versus PC2

PC2 versus PC3

Associate PCs with disease
# A tibble: 23 × 3
# Groups: pc [23]
pc estimate p.value
<chr> <dbl> <dbl>
1 PC4 1.59e+ 1 0.0133
2 PC9 1.09e+ 1 0.0468
3 PC2 3.01e+ 1 0.0802
4 PC12 -8.90e+ 0 0.0852
5 PC10 7.02e+ 0 0.202
6 PC23 -6.00e-14 0.319
7 PC5 5.95e+ 0 0.342
8 PC16 -4.39e+ 0 0.371
9 PC6 -5.09e+ 0 0.406
10 PC13 -3.57e+ 0 0.495
# ℹ 13 more rows
The first three principal components can separate RA with control samples, to some degree.
Process methylation dataset
[1] 572165 23
Add mean difference of beta values
Save the full table as excel file

The top hit seems interesting: https://pubmed.ncbi.nlm.nih.gov/18759932/

Probes on sex chromosomes are not removed, as some genes in the list are from chrX and chrY
Fix some names
Check if the names are present
Genes not detected
[1] "PHD" "ATP5F1D" "ATP5ME" "NDUF?"
Add all DGKs and NDUFs

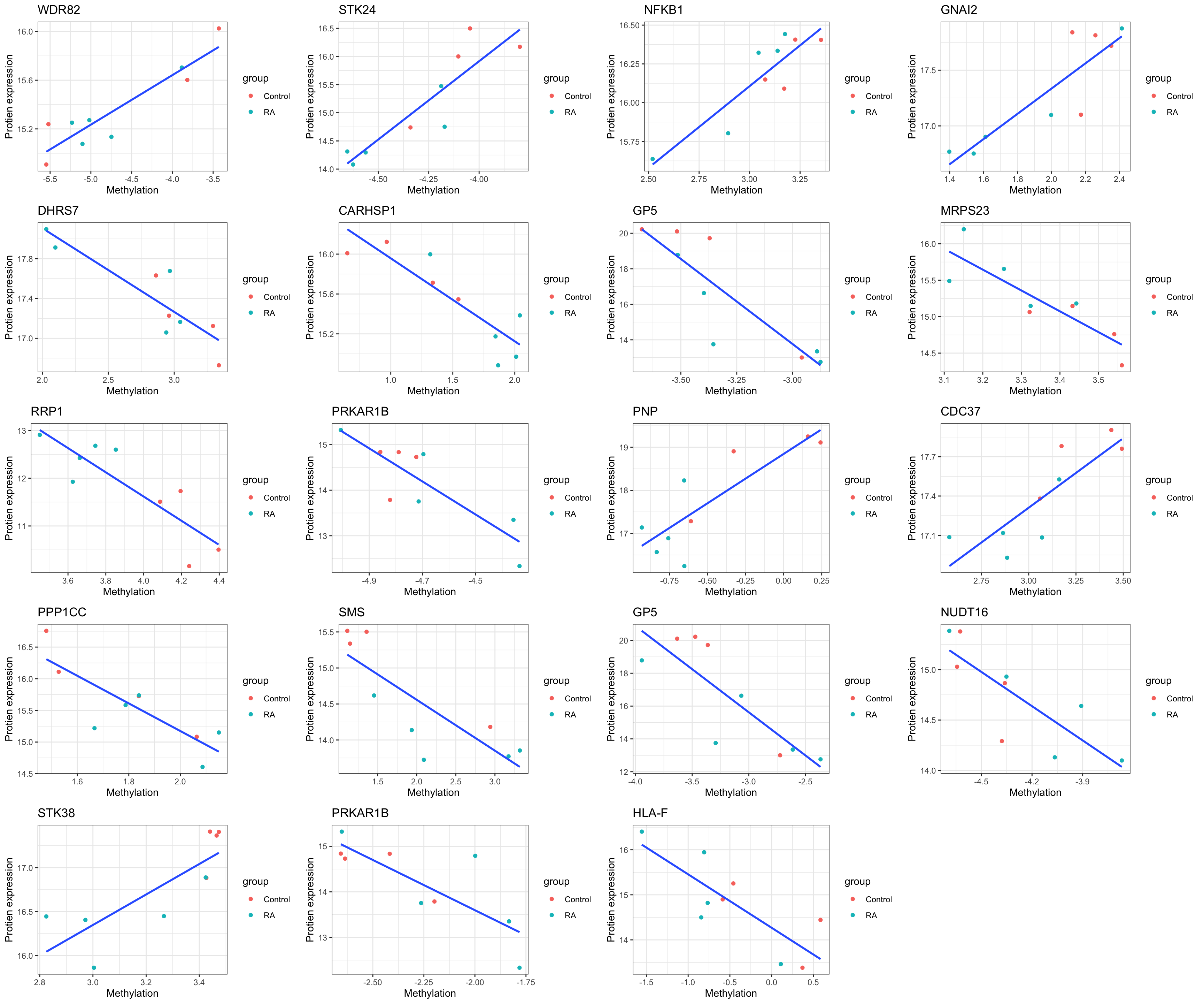
Visualize top 20 associations

Because of small sample size, only focus on cis-regulations
No strong associations

DMST1_S143 phosphorylation showed association with phenotype and may reflect the activity of DMNT1 protein
[1] 572171 5
How many are known to be associated with the phenotype?
FALSE TRUE
14581 130
# A tibble: 0 × 10
# ℹ 10 variables: methID <chr>, logFC <dbl>, AveExpr <dbl>, t <dbl>,
# P.Value <dbl>, adj.P.Val <dbl>, B <dbl>, symbol <chr>, site <chr>,
# ifGroup <lgl>
Unfortunately no.
R version 4.2.0 (2022-04-22)
Platform: x86_64-apple-darwin17.0 (64-bit)
Running under: macOS Big Sur/Monterey 10.16
Matrix products: default
BLAS: /Library/Frameworks/R.framework/Versions/4.2/Resources/lib/libRblas.0.dylib
LAPACK: /Library/Frameworks/R.framework/Versions/4.2/Resources/lib/libRlapack.dylib
locale:
[1] en_US.UTF-8/en_US.UTF-8/en_US.UTF-8/C/en_US.UTF-8/en_US.UTF-8
attached base packages:
[1] stats4 stats graphics grDevices utils datasets methods
[8] base
other attached packages:
[1] BiocParallel_1.30.3 MultiAssayExperiment_1.22.0
[3] forcats_0.5.1 stringr_1.4.1
[5] dplyr_1.1.4.9000 purrr_0.3.4
[7] readr_2.1.2 tidyr_1.2.0
[9] tibble_3.2.1 ggplot2_3.4.1
[11] tidyverse_1.3.2 pheatmap_1.0.12
[13] SummarizedExperiment_1.26.1 Biobase_2.56.0
[15] GenomicRanges_1.48.0 GenomeInfoDb_1.32.2
[17] IRanges_2.30.0 S4Vectors_0.34.0
[19] BiocGenerics_0.42.0 MatrixGenerics_1.8.1
[21] matrixStats_0.62.0 limma_3.52.2
loaded via a namespace (and not attached):
[1] ggbeeswarm_0.6.0 googledrive_2.0.0 colorspace_2.0-3
[4] ellipsis_0.3.2 rprojroot_2.0.3 XVector_0.36.0
[7] fs_1.5.2 rstudioapi_0.13 farver_2.1.1
[10] DT_0.23 ggrepel_0.9.1 bit64_4.0.5
[13] AnnotationDbi_1.58.0 fansi_1.0.6 lubridate_1.8.0
[16] xml2_1.3.3 codetools_0.2-18 splines_4.2.0
[19] cachem_1.0.6 knitr_1.39 jsonlite_1.8.3
[22] workflowr_1.7.0 broom_1.0.0 annotate_1.74.0
[25] dbplyr_2.2.1 png_0.1-7 compiler_4.2.0
[28] httr_1.4.3 backports_1.4.1 assertthat_0.2.1
[31] Matrix_1.5-4 fastmap_1.1.0 gargle_1.2.0
[34] cli_3.6.2 later_1.3.0 htmltools_0.5.4
[37] tools_4.2.0 gtable_0.3.0 glue_1.7.0
[40] GenomeInfoDbData_1.2.8 Rcpp_1.0.9 cellranger_1.1.0
[43] jquerylib_0.1.4 vctrs_0.6.5 Biostrings_2.64.0
[46] writexl_1.4.0 nlme_3.1-158 crosstalk_1.2.0
[49] xfun_0.31 rvest_1.0.2 lifecycle_1.0.4
[52] XML_3.99-0.10 googlesheets4_1.0.0 zlibbioc_1.42.0
[55] scales_1.2.0 ragg_1.2.2 hms_1.1.1
[58] promises_1.2.0.1 parallel_4.2.0 RColorBrewer_1.1-3
[61] yaml_2.3.5 memoise_2.0.1 sass_0.4.2
[64] stringi_1.7.8 RSQLite_2.2.15 highr_0.9
[67] genefilter_1.78.0 systemfonts_1.0.4 rlang_1.1.3
[70] pkgconfig_2.0.3 bitops_1.0-7 evaluate_0.15
[73] lattice_0.20-45 htmlwidgets_1.5.4 labeling_0.4.2
[76] cowplot_1.1.1 bit_4.0.4 tidyselect_1.2.1
[79] magrittr_2.0.3 R6_2.5.1 generics_0.1.3
[82] DelayedArray_0.22.0 DBI_1.1.3 mgcv_1.8-40
[85] pillar_1.9.0 haven_2.5.0 withr_3.0.0
[88] survival_3.4-0 KEGGREST_1.36.3 RCurl_1.98-1.7
[91] modelr_0.1.8 crayon_1.5.2 utf8_1.2.4
[94] tzdb_0.3.0 rmarkdown_2.14 grid_4.2.0
[97] readxl_1.4.0 blob_1.2.3 git2r_0.30.1
[100] reprex_2.0.1 digest_0.6.30 xtable_1.8-4
[103] httpuv_1.6.6 textshaping_0.3.6 munsell_0.5.0
[106] beeswarm_0.4.0 vipor_0.4.5 bslib_0.4.1