Last updated: 2023-06-06
Checks: 5 1
Knit directory: combiCART/analysis/
This reproducible R Markdown analysis was created with workflowr (version 1.7.0). The Checks tab describes the reproducibility checks that were applied when the results were created. The Past versions tab lists the development history.
Great job! The global environment was empty. Objects defined in the global environment can affect the analysis in your R Markdown file in unknown ways. For reproduciblity it’s best to always run the code in an empty environment.
The command set.seed(20221110) was run prior to running
the code in the R Markdown file. Setting a seed ensures that any results
that rely on randomness, e.g. subsampling or permutations, are
reproducible.
Great job! Recording the operating system, R version, and package versions is critical for reproducibility.
Nice! There were no cached chunks for this analysis, so you can be confident that you successfully produced the results during this run.
Great job! Using relative paths to the files within your workflowr project makes it easier to run your code on other machines.
Tracking code development and connecting the code version to the
results is critical for reproducibility. To start using Git, open the
Terminal and type git init in your project directory.
This project is not being versioned with Git. To obtain the full
reproducibility benefits of using workflowr, please see
?wflow_start.
library(readxl)
library(DrugScreenExplorer)
library(tidyverse)
knitr::opts_chunk$set(warning = FALSE, message = FALSE)
wellAnno <- readxl::read_excel("../data/wellAnno_AGSauer.xlsx") %>%
dplyr::rename(Tcell = `Drug_A (T cells)`, Drug = Drug_B, conc = Drug_B.Conc, concStep = Drug_B.ConcStep) %>%
select(wellID, name, Tcell, Drug, conc, concStep) %>%
mutate(rowID = str_sub(wellID, 1,2), colID = str_sub(wellID, 3, 4)) %>%
mutate(ifEdge = rowID %in% c("A0", "P0") | colID %in% c("01","24")) %>% #define only the most outside layer as edge
select(-rowID, -colID)
MI-774,775,776,777 should all be MI-773
wellAnno <- mutate(wellAnno, Drug = ifelse(Drug %in% paste0("MI-", seq(774,777)), "MI-773", Drug))
Iburtinib -> Ibrutinib
wellAnno <- mutate(wellAnno, Drug = ifelse(Drug == "Iburtinib", "Ibrutinib", Drug))
Save
write_tsv(wellAnno,"../output/wellAnno.tsv")
smpAnno <- readxl::read_xlsx("../data/plateAnno_AGSauer.xlsx")
plateFile <- list.files("../data/rawData/", recursive = TRUE, pattern = "csv")
plateAnno <- tibble(fileName = plateFile) %>%
mutate(fileID =basename(fileName)) %>%
left_join(smpAnno, by = c(fileID = "fileName")) %>%
select(-fileID) %>%
dplyr::rename(cellTime = plateID, donorConstruct = Name) %>%
separate(cellTime, c("cell","time"),"_",remove =FALSE) %>%
separate(donorConstruct, c("donor","construct"),"_", remove =FALSE) %>%
mutate(plateID = paste0(cellTime,"_",donorConstruct))
stopifnot(all(!is.na(plateAnno$plateID)))
write_tsv(plateAnno, "../output/plateAnno.tsv")
without normalization in this step
screenData <- readScreen("../data/rawData/",
plateAnnotationFile = "../output/plateAnno.tsv",
wellAnnotationFile = "../output/wellAnno.tsv",
rowRange = c(7,22), negWell = c("DMSO_Tumor_only"), posWell = c(),
colRange = 2, discardLayer = 1, normalization = FALSE, sep = ",")
For drug + NT wells, they will be normalized by both NT well
and tumor only wells. For other wells, they will be only normalized by
tumor only wells.
For wells on the edge (most outside layers), they will be
normalized by the tumor only or NT wells on the same layer
negData <- filter(screenData, name %in% c("DMSO_NT","DMSO_Tumor_only")) %>%
group_by(plateID, name, ifEdge) %>% summarise(medVal = median(value)) %>%
mutate(name = ifelse(name == "DMSO_NT", "nt", "dmso")) %>%
mutate(name = paste0(name, "_", ifelse(ifEdge, "edge","inner"))) %>%
select(plateID, name, medVal) %>%
pivot_wider(names_from = name, values_from = medVal)
screenData <- left_join(screenData, negData, by = "plateID") %>%
mutate(normVal.NT = case_when(!ifEdge & Tcell == "NT" ~ value/nt_inner,
!ifEdge & Tcell != "NT" ~ value/dmso_inner,
ifEdge & Tcell == "NT" ~ value/nt_edge,
ifEdge & Tcell != "NT" ~ value/dmso_edge),
normVal = case_when(!ifEdge ~ value/dmso_inner,
ifEdge ~ value/dmso_edge)) %>%
select(-nt_inner, -nt_edge, -dmso_inner, -dmso_edge)
screenData <- screenData %>%
mutate(type = case_when(
Drug == "DMSO" & Tcell == "NEG" ~ "control only",
Drug == "DMSO" & Tcell == "CAR" ~ "CAR only",
Drug == "DMSO" & Tcell == "NT" ~ "NT only",
Drug != "DMSO" & Tcell == "CAR" ~ "Drug + CAR",
Drug != "DMSO" & Tcell == "NT" ~ "Drug + NT"))
The two most outside layer is defined as edges.
Does every plate have the same layout?
plateIden <- group_by(screenData, plateID, wellID) %>%
summarise(ifSame = length(unique(Drug))==1 &
length(unique(Tcell))==1)
all(plateIden$ifSame)
[1] TRUE
Yes.
Plot drug type layout
plateLayout <- distinct(screenData, rowID, colID, Drug, Tcell, type, concStep)
ggplot(plateLayout, aes(x=colID, y=rowID, fill = type)) +
geom_tile() +
theme_classic()

Plot drug layout
ggplot(plateLayout, aes(x=colID, y=rowID, fill = Drug)) +
geom_tile() +
theme_classic()

Plot T cell layout
ggplot(plateLayout, aes(x=colID, y=rowID, fill = Tcell)) +
geom_tile() +
theme_classic()

Plot base drug concentration layout
ggplot(plateLayout, aes(x=colID, y=rowID, fill = concStep)) +
geom_tile() +
theme_classic()

pList <- lapply(unique(screenData$plateID), function(id){
plotTab <- filter(screenData, plateID == id)
ggplot(plotTab, aes(x=colID, y=rowID, fill = normVal)) +
geom_tile() +
scale_fill_gradient2(low = "blue", high = "red", mid = "white", midpoint = 1,limits=c(0,2)) +
theme_classic() +
ggtitle(id)
})
jyluMisc::makepdf(pList, "../docs/plate_plot.pdf",ncol = 2, nrow = 3, width = 12, height = 12)
ggplot(screenData, aes(x=type, y=normVal)) +
geom_violin()

plotTab <- filter(screenData, type == "control only")
ggplot(plotTab, aes(x=donorConstruct, y=value)) +
ggbeeswarm::geom_quasirandom(aes(col = ifEdge)) +
theme(axis.text.x = element_text(angle = 90, vjust=0.5, hjust = 1)) +
facet_wrap(~cellTime, scale = "free_x")

plotTab <- screenData %>% filter(type == "control only")
ggplot(plotTab, aes(x=plateID, y=normVal, col = ifEdge)) +
geom_boxplot() +
theme(axis.text.x = element_text(angle = 90, vjust=0.5, hjust = 1))
Edge wells seems to have higher variance
Per row
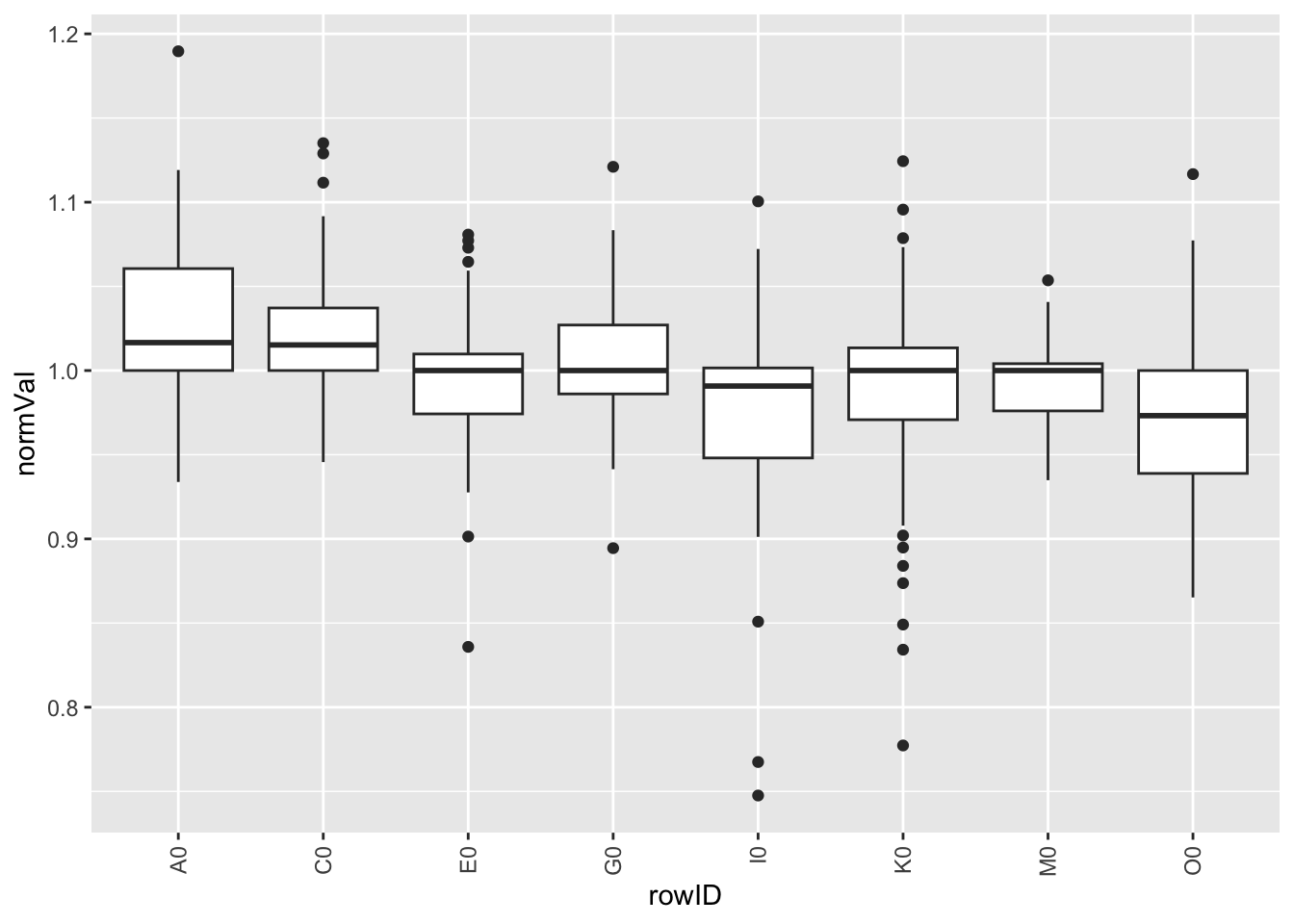
plotTab <- screenData %>% filter(type == "control only")
ggplot(plotTab, aes(x=rowID, y=normVal)) +
geom_boxplot() +
theme(axis.text.x = element_text(angle = 90, vjust=0.5, hjust = 1))
Per column
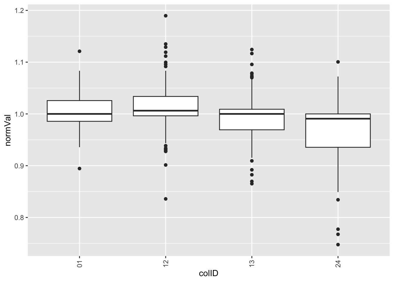
plotTab <- screenData %>% filter(type == "control only")
ggplot(plotTab, aes(x=colID, y=normVal)) +
geom_boxplot() +
theme(axis.text.x = element_text(angle = 90, vjust=0.5, hjust = 1))
Looks like there’s strong edge effect in this screen.
drugTab <- distinct(screenData, Drug, Tcell, conc) %>%
mutate(present = 1) %>%
mutate(drugConc = paste0(Drug,"_",conc))
orderA <- arrange(drugTab, Drug, conc)$drugConc
orderB <- arrange(drugTab, Tcell)$Tcell
designMat <- drugTab %>%
select(drugConc, Tcell, present) %>%
pivot_wider(names_from = Tcell, values_from = present) %>%
pivot_longer(-drugConc) %>%
mutate(name = factor(name, levels = unique(orderB)),
drugConc = factor(drugConc, levels = unique(orderA)))
ggplot(designMat, aes(x=name, y=drugConc, fill = value)) +
geom_tile() +
theme_minimal() +
theme(axis.text.x = element_text(angle = 90, hjust = 1, vjust=0.5))

table(screenData$screenDate, screenData$cellTime)
KG1a_24h KG1a_48h MOLM_24h MOLM_48h U937_24h U937_48h
04.04.2023 1152 0 1152 0 1152 0
05.04.2023 0 1152 0 1152 0 1152
07.03.2023 0 0 3456 0 3456 0
08.03.2023 0 0 0 3456 0 3456
Batch is somewhat confounded with cell lines
ggplot(screenData, aes(x=screenDate, y=normVal, fill = type)) +
geom_violin() +
facet_wrap(~ type, scale = "free", ncol=3) +
theme(axis.text.x = element_text(angle = 90, hjust = 1, vjust = 0.5))

viabMat <- select(screenData, plateID, normVal, wellID) %>%
pivot_wider(names_from = wellID, values_from = normVal) %>%
column_to_rownames("plateID") %>% as.matrix()
pcRes <- prcomp(viabMat)
pcTab <- pcRes$x %>% as_tibble(rownames= "plateID")
varExp <- pcRes$sdev^2/sum(pcRes$sdev^2)
annoTab <- distinct(screenData, plateID, screenDate, cell, time, donor, construct)
plotTab <- left_join(pcTab, annoTab, by = "plateID")
pList <- lapply(seq(6), function(i) {
pc1 <- paste0("PC", 2*(i-1)+1)
pc2 <- paste0("PC", 2*(i-1)+2)
var1 <- varExp[2*(i-1)+1]*100
var2 <- varExp[2*(i-1)+2]*100
ggplot(plotTab, aes_string(x=pc1, y=pc2)) +
geom_point(aes(col = screenDate, size = time, shape = cell)) +
xlab(sprintf("%s (%1.2f%%)", pc1, var1)) +
ylab(sprintf("%s (%1.2f%%)", pc2, var2))
})
cowplot::plot_grid(plotlist = pList, ncol=2)
No clear batch effect can be observed.
save(screenData, file = "../output/screenData.RData")
sessionInfo()
R version 4.2.0 (2022-04-22)
Platform: x86_64-apple-darwin17.0 (64-bit)
Running under: macOS Big Sur/Monterey 10.16
Matrix products: default
BLAS: /Library/Frameworks/R.framework/Versions/4.2/Resources/lib/libRblas.0.dylib
LAPACK: /Library/Frameworks/R.framework/Versions/4.2/Resources/lib/libRlapack.dylib
locale:
[1] en_US.UTF-8/en_US.UTF-8/en_US.UTF-8/C/en_US.UTF-8/en_US.UTF-8
attached base packages:
[1] stats graphics grDevices utils datasets methods base
other attached packages:
[1] gridExtra_2.3 forcats_0.5.1 stringr_1.4.1
[4] dplyr_1.0.9 purrr_0.3.4 readr_2.1.2
[7] tidyr_1.2.0 tibble_3.1.8 ggplot2_3.4.1
[10] tidyverse_1.3.2 DrugScreenExplorer_0.1.0 readxl_1.4.0
loaded via a namespace (and not attached):
[1] backports_1.4.1 fastmatch_1.1-3
[3] drc_3.0-1 jyluMisc_0.1.5
[5] workflowr_1.7.0 igraph_1.3.4
[7] shinydashboard_0.7.2 splines_4.2.0
[9] BiocParallel_1.30.3 GenomeInfoDb_1.32.2
[11] TH.data_1.1-1 digest_0.6.30
[13] htmltools_0.5.4 fansi_1.0.3
[15] magrittr_2.0.3 tensor_1.5
[17] googlesheets4_1.0.0 cluster_2.1.3
[19] tzdb_0.3.0 limma_3.52.2
[21] modelr_0.1.8 matrixStats_0.62.0
[23] vroom_1.5.7 sandwich_3.0-2
[25] piano_2.12.0 colorspace_2.0-3
[27] rvest_1.0.2 haven_2.5.0
[29] rbibutils_2.2.9 xfun_0.31
[31] crayon_1.5.2 RCurl_1.98-1.7
[33] jsonlite_1.8.3 survival_3.4-0
[35] zoo_1.8-10 glue_1.6.2
[37] survminer_0.4.9 gtable_0.3.0
[39] gargle_1.2.0 zlibbioc_1.42.0
[41] XVector_0.36.0 DelayedArray_0.22.0
[43] car_3.1-0 BiocGenerics_0.42.0
[45] abind_1.4-5 scales_1.2.0
[47] mvtnorm_1.1-3 DBI_1.1.3
[49] relations_0.6-12 rstatix_0.7.0
[51] Rcpp_1.0.9 plotrix_3.8-2
[53] xtable_1.8-4 bit_4.0.4
[55] km.ci_0.5-6 DT_0.23
[57] stats4_4.2.0 htmlwidgets_1.5.4
[59] httr_1.4.3 fgsea_1.22.0
[61] gplots_3.1.3 ellipsis_0.3.2
[63] pkgconfig_2.0.3 farver_2.1.1
[65] sass_0.4.2 dbplyr_2.2.1
[67] utf8_1.2.2 labeling_0.4.2
[69] tidyselect_1.1.2 rlang_1.0.6
[71] later_1.3.0 visNetwork_2.1.0
[73] munsell_0.5.0 cellranger_1.1.0
[75] tools_4.2.0 cachem_1.0.6
[77] cli_3.4.1 generics_0.1.3
[79] broom_1.0.0 evaluate_0.15
[81] fastmap_1.1.0 yaml_2.3.5
[83] knitr_1.39 bit64_4.0.5
[85] fs_1.5.2 survMisc_0.5.6
[87] caTools_1.18.2 mime_0.12
[89] slam_0.1-50 xml2_1.3.3
[91] compiler_4.2.0 rstudioapi_0.13
[93] beeswarm_0.4.0 ggsignif_0.6.3
[95] marray_1.74.0 reprex_2.0.1
[97] bslib_0.4.1 stringi_1.7.8
[99] highr_0.9 lattice_0.20-45
[101] Matrix_1.5-4 KMsurv_0.1-5
[103] shinyjs_2.1.0 vctrs_0.5.2
[105] pillar_1.8.0 lifecycle_1.0.3
[107] Rdpack_2.4 jquerylib_0.1.4
[109] data.table_1.14.8 cowplot_1.1.1
[111] bitops_1.0-7 httpuv_1.6.6
[113] GenomicRanges_1.48.0 R6_2.5.1
[115] promises_1.2.0.1 KernSmooth_2.23-20
[117] vipor_0.4.5 IRanges_2.30.0
[119] codetools_0.2-18 MASS_7.3-58
[121] gtools_3.9.3 exactRankTests_0.8-35
[123] assertthat_0.2.1 SummarizedExperiment_1.26.1
[125] rprojroot_2.0.3 withr_2.5.0
[127] multcomp_1.4-19 S4Vectors_0.34.0
[129] GenomeInfoDbData_1.2.8 parallel_4.2.0
[131] hms_1.1.1 grid_4.2.0
[133] rmarkdown_2.14 MatrixGenerics_1.8.1
[135] carData_3.0-5 dr4pl_2.0.0
[137] googledrive_2.0.0 ggpubr_0.4.0
[139] git2r_0.30.1 maxstat_0.7-25
[141] sets_1.0-21 Biobase_2.56.0
[143] shiny_1.7.4 lubridate_1.8.0
[145] ggbeeswarm_0.6.0