Last updated: 2022-11-11
Checks: 5 1
Knit directory: irAE_LungCancer/analysis/
This reproducible R Markdown analysis was created with workflowr (version 1.7.0). The Checks tab describes the reproducibility checks that were applied when the results were created. The Past versions tab lists the development history.
Great job! The global environment was empty. Objects defined in the global environment can affect the analysis in your R Markdown file in unknown ways. For reproduciblity it’s best to always run the code in an empty environment.
The command set.seed(20221110) was run prior to running
the code in the R Markdown file. Setting a seed ensures that any results
that rely on randomness, e.g. subsampling or permutations, are
reproducible.
Great job! Recording the operating system, R version, and package versions is critical for reproducibility.
Nice! There were no cached chunks for this analysis, so you can be confident that you successfully produced the results during this run.
Great job! Using relative paths to the files within your workflowr project makes it easier to run your code on other machines.
Tracking code development and connecting the code version to the
results is critical for reproducibility. To start using Git, open the
Terminal and type git init in your project directory.
This project is not being versioned with Git. To obtain the full
reproducibility benefits of using workflowr, please see
?wflow_start.
library(MultiAssayExperiment)
library(pheatmap)
library(vsn)
library(jyluMisc)
library(tidyverse)
knitr::opts_chunk$set(warning = FALSE, message = FALSE)
Load data
load("../output/processedData.RData")
patAnno <- colData(mae) %>%
as_tibble(rownames = "sampleID")
cbaTab <- filter(fullTab, assay == "CBA") %>%
mutate(logVal = glog2(value)) %>%
mutate(Group = factor(Group, levels = c("no irAE","rheumatic irAE","other irAE")))
subTab <- filter(cbaTab, condition == "Baseline" )
subMat <- subTab %>% select(sampleID, name, logVal) %>%
pivot_wider(names_from = name, values_from = logVal) %>%
column_to_rownames("sampleID") %>% as.matrix()
pcRes <- prcomp(subMat, center = TRUE, scale. = TRUE)
pcTab <- pcRes$x %>% as_tibble(rownames = "sampleID") %>%
left_join(patAnno, by = "sampleID")
ggplot(pcTab, aes(x=PC1, y=PC2, col = Group)) +
geom_point()

ggplot(pcTab, aes(x=PC3, y=PC4, col = Group)) +
geom_point()

testTab <- pcTab %>% select(sampleID, PC1:PC20, Group) %>%
pivot_longer(-c(sampleID, Group))
resTab <- group_by(testTab, name) %>% nest() %>%
mutate(m = map(data, ~aov(lm(value ~ Group,.)))) %>%
mutate(res = map(m, broom::tidy)) %>%
unnest(res) %>%
filter(term == "Group") %>% arrange(p.value)
resTab %>% select(name, p.value) %>% filter(p.value <=0.05)
# A tibble: 2 × 2
# Groups: name [2]
name p.value
<chr> <dbl>
1 PC3 0.0162
2 PC4 0.0267
PC3 versus PC4
ggplot(pcTab, aes(x=PC3, y=PC4, col = Group)) +
geom_point()

resTab <- subTab %>% group_by(name) %>% nest() %>%
mutate(m = map(data, ~aov(lm(logVal ~ Group,.)))) %>%
mutate(res = map(m, broom::tidy)) %>%
unnest(res) %>%
filter(term == "Group") %>%
arrange(p.value) %>%
select(name, p.value)
resTab.sig <- filter(resTab, p.value < 0.05)
resTab.sig
# A tibble: 1 × 2
# Groups: name [1]
name p.value
<chr> <dbl>
1 MCP-1 0.0163
Plot
plotTab <- filter(subTab, name %in% resTab.sig$name)
ggplot(plotTab, aes(x=Group, y=logVal)) +
geom_boxplot() + geom_point() +
facet_wrap(~name, scales = "free")

pairwiseT <- function(dataTab, value, group, feature) {
if (is.factor(dataTab[[group]])) {
allCompare <- combn(levels(dataTab[[group]]),2, simplify = FALSE)
} else {
allCompare <- combn(unique(dataTab[[group]]),2, simplify = FALSE)
}
testTab <- select(dataTab, all_of(c(value, group, feature))) %>%
dplyr::rename(group = all_of(group),
value = all_of(value),
feature = all_of(feature))
resTab <- lapply(allCompare, function(x) {
refGroup <- x[1]
comGroup <- x[2]
eachTab <- filter(testTab, group %in% c(refGroup, comGroup)) %>%
mutate(group = factor(group, levels = c(refGroup, comGroup)))
res <- group_by(eachTab, feature) %>% nest() %>%
mutate(m = map(data, ~t.test(value~group,.,var.equal=TRUE))) %>%
mutate(r = map(m, broom::tidy)) %>% unnest(r) %>%
select(feature, estimate, p.value) %>%
mutate(group1 = refGroup, group2 = comGroup) %>%
arrange(p.value) %>% ungroup() %>%
mutate(p.adj = p.adjust(p.value, method = "BH"))
}) %>% bind_rows()
}
resPair.baseline <- pairwiseT(subTab, "logVal", "Group", "name")
filter(resPair.baseline, p.value < 0.05)
# A tibble: 4 × 6
feature estimate p.value group1 group2 p.adj
<chr> <dbl> <dbl> <chr> <chr> <dbl>
1 MCP-1 0.861 0.00563 no irAE rheumatic irAE 0.146
2 IL-18 0.824 0.0381 no irAE other irAE 0.514
3 IL-17A 0.526 0.0444 no irAE other irAE 0.514
4 TNF-alpha 1.22 0.0496 rheumatic irAE other irAE 0.701
subTab <- filter(cbaTab, condition == "Follow_Up" )
subMat <- subTab %>% select(sampleID, name, logVal) %>%
pivot_wider(names_from = name, values_from = logVal) %>%
column_to_rownames("sampleID") %>% as.matrix()
pcRes <- prcomp(subMat, center = TRUE, scale. = TRUE)
pcTab <- pcRes$x %>% as_tibble(rownames = "sampleID") %>%
left_join(patAnno, by = "sampleID")
ggplot(pcTab, aes(x=PC1, y=PC2, col = Group)) +
geom_point()

ggplot(pcTab, aes(x=PC3, y=PC4, col = Group)) +
geom_point()

testTab <- pcTab %>% select(sampleID, PC1:PC20, Group) %>%
pivot_longer(-c(sampleID, Group))
resTab <- group_by(testTab, name) %>% nest() %>%
mutate(m = map(data, ~aov(lm(value ~ Group,.)))) %>%
mutate(res = map(m, broom::tidy)) %>%
unnest(res) %>%
filter(term == "Group") %>% arrange(p.value)
resTab %>% select(name, p.value) %>% filter(p.value <=0.05)
# A tibble: 2 × 2
# Groups: name [2]
name p.value
<chr> <dbl>
1 PC2 0.000295
2 PC1 0.0280
resTab <- subTab %>% group_by(name) %>% nest() %>%
mutate(m = map(data, ~aov(lm(logVal ~ Group,.)))) %>%
mutate(res = map(m, broom::tidy)) %>%
unnest(res) %>%
filter(term == "Group") %>%
arrange(p.value) %>%
select(name, p.value)
resTab.sig <- filter(resTab, p.value < 0.05)
resTab.sig
# A tibble: 11 × 2
# Groups: name [11]
name p.value
<chr> <dbl>
1 IL-33 0.0000484
2 IL-10 0.000209
3 IL-12p70 0.000258
4 IL-1beta 0.00821
5 Perforin 0.0113
6 IFN-alpha2 0.0138
7 IFN-gamma 0.0148
8 IL-6 0.0276
9 IL-17A 0.0296
10 IL-23 0.0304
11 GM-CSF 0.0388
Plot
plotTab <- filter(subTab, name %in% resTab.sig$name)
ggplot(plotTab, aes(x=Group, y=logVal)) +
geom_boxplot() + geom_point() +
facet_wrap(~name, scales = "free")

resPair.followup <- pairwiseT(subTab, "logVal", "Group", "name")
filter(resPair.followup, p.value < 0.05)
# A tibble: 19 × 6
feature estimate p.value group1 group2 p.adj
<chr> <dbl> <dbl> <chr> <chr> <dbl>
1 IL-33 2.67 0.000294 no irAE rheumatic irAE 0.00764
2 Perforin -0.915 0.00242 no irAE rheumatic irAE 0.0315
3 IL-12p70 1.48 0.00612 no irAE rheumatic irAE 0.0530
4 IL-10 1.94 0.00830 no irAE rheumatic irAE 0.0540
5 GM-CSF -0.992 0.0175 no irAE rheumatic irAE 0.0822
6 IL-17A 0.755 0.0190 no irAE rheumatic irAE 0.0822
7 IL-6 -0.878 0.00581 no irAE other irAE 0.151
8 Granzyme -2.86 0.0476 no irAE other irAE 0.345
9 IL-12p70 -2.17 0.0000880 rheumatic irAE other irAE 0.00125
10 IL-33 -2.86 0.0000964 rheumatic irAE other irAE 0.00125
11 IL-10 -3.02 0.000224 rheumatic irAE other irAE 0.00194
12 IL-1beta -1.77 0.00316 rheumatic irAE other irAE 0.0205
13 IL-23 -2.01 0.00665 rheumatic irAE other irAE 0.0272
14 IFN-gamma -1.07 0.00728 rheumatic irAE other irAE 0.0272
15 IFN-alpha2 -0.997 0.00754 rheumatic irAE other irAE 0.0272
16 IL-17A -0.733 0.00837 rheumatic irAE other irAE 0.0272
17 IL-6 -1.15 0.0259 rheumatic irAE other irAE 0.0749
18 Perforin 0.642 0.0315 rheumatic irAE other irAE 0.0819
19 IL-4 2.25 0.0475 rheumatic irAE other irAE 0.112
In this analysis, instead of looking at baseline and follow up separately, I created new features by using: follow_up - baseline, which indicates the change over time.
subTab <- filter(cbaTab, assay == "CBA", condition %in% c("Baseline", "Follow_Up")) %>%
select(name, Group, condition, logVal, patID) %>%
pivot_wider(names_from = condition, values_from = logVal) %>%
mutate(diffVal = Follow_Up - Baseline) %>%
filter(!is.na(diffVal))
subMat <- subTab %>% select(patID, name, diffVal) %>%
pivot_wider(names_from = name, values_from = diffVal) %>%
column_to_rownames("patID") %>% as.matrix()
pcRes <- prcomp(subMat, center = TRUE, scale. = TRUE)
pcTab <- pcRes$x %>% as_tibble(rownames = "patID") %>%
left_join(patAnno, by = "patID")
ggplot(pcTab, aes(x=PC1, y=PC2, col = Group)) +
geom_point()

ggplot(pcTab, aes(x=PC3, y=PC4, col = Group)) +
geom_point()

testTab <- pcTab %>% select(sampleID, PC1:PC20, Group) %>%
pivot_longer(-c(sampleID, Group))
resTab <- group_by(testTab, name) %>% nest() %>%
mutate(m = map(data, ~aov(lm(value ~ Group,.)))) %>%
mutate(res = map(m, broom::tidy)) %>%
unnest(res) %>%
filter(term == "Group") %>% arrange(p.value)
resTab %>% select(name, p.value) %>% filter(p.value <=0.05)
# A tibble: 6 × 2
# Groups: name [6]
name p.value
<chr> <dbl>
1 PC4 0.000585
2 PC2 0.000609
3 PC1 0.000788
4 PC8 0.0145
5 PC12 0.0194
6 PC5 0.0426
PC4 versus PC2
ggplot(pcTab, aes(x=PC2, y=PC4, col = Group)) +
geom_point()

resTab <- subTab %>% group_by(name) %>% nest() %>%
mutate(m = map(data, ~aov(lm(diffVal ~ Group,.)))) %>%
mutate(res = map(m, broom::tidy)) %>%
unnest(res) %>%
filter(term == "Group") %>%
arrange(p.value) %>%
select(name, p.value)
resTab.sig <- filter(resTab, p.value <= 0.05)
resTab.sig
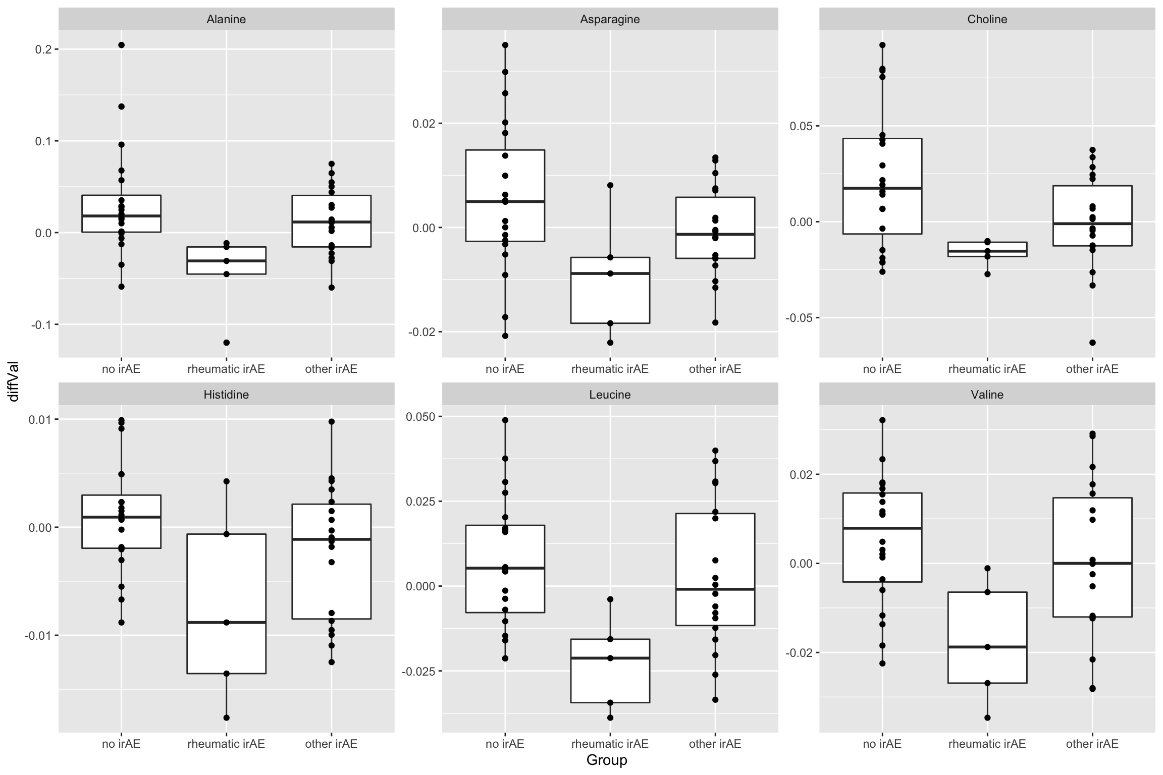
# A tibble: 11 × 2
# Groups: name [11]
name p.value
<chr> <dbl>
1 IL-12p70 0.00215
2 IL-33 0.00258
3 IL-23 0.00527
4 IL-1beta 0.00852
5 IL-18 0.00857
6 IFN-alpha2 0.0118
7 IL-17A 0.0159
8 IL-4 0.0205
9 IL-10 0.0265
10 IFN-gamma 0.0393
11 TNF-alpha 0.0480
Plot
plotTab <- filter(subTab, name %in% resTab.sig$name)
ggplot(plotTab, aes(x=Group, y=diffVal)) +
geom_boxplot() + geom_point() +
facet_wrap(~name, scales = "free")

resPair.diff <- pairwiseT(subTab, "diffVal", "Group", "name")
filter(resPair.diff, p.value <= 0.05)
# A tibble: 19 × 6
feature estimate p.value group1 group2 p.adj
<chr> <dbl> <dbl> <chr> <chr> <dbl>
1 IL-33 4.12 0.00529 no irAE rheumatic irAE 0.138
2 IL-4 -5.83 0.0213 no irAE rheumatic irAE 0.250
3 IL-12p70 1.90 0.0371 no irAE rheumatic irAE 0.250
4 IL-23 3.15 0.0458 no irAE rheumatic irAE 0.250
5 TNF-alpha 2.55 0.0480 no irAE rheumatic irAE 0.250
6 IL-18 -1.56 0.00254 no irAE other irAE 0.0660
7 IFN-alpha2 -0.943 0.0260 no irAE other irAE 0.289
8 IL-1beta -1.41 0.0334 no irAE other irAE 0.289
9 IL-12p70 -2.89 0.0000528 rheumatic irAE other irAE 0.00137
10 IL-33 -4.36 0.000165 rheumatic irAE other irAE 0.00215
11 IL-23 -4.62 0.000318 rheumatic irAE other irAE 0.00275
12 IL-10 -3.68 0.00247 rheumatic irAE other irAE 0.0142
13 IL-17A -1.31 0.00320 rheumatic irAE other irAE 0.0142
14 IL-4 6.34 0.00327 rheumatic irAE other irAE 0.0142
15 IL-1beta -2.85 0.00663 rheumatic irAE other irAE 0.0246
16 TNF-alpha -2.95 0.00804 rheumatic irAE other irAE 0.0261
17 IFN-alpha2 -1.75 0.0118 rheumatic irAE other irAE 0.0341
18 IFN-gamma -1.88 0.0172 rheumatic irAE other irAE 0.0447
19 IL-8 -3.12 0.0395 rheumatic irAE other irAE 0.0934
resPair.cba <- bind_rows(
resPair.baseline %>% mutate(condition = "Baseline"),
resPair.followup %>% mutate(condition = "Follow_Up"),
resPair.diff %>% mutate(condition = "Follow_Up - Baseline")
)
plotTab <- mutate(resPair.cba,
comparison = paste0(group2, " ~ ", group1),
logP = -log10(p.value)*sign(estimate),
star = case_when(
p.value <= 0.01 ~ "**",
p.value <= 0.05 ~ "*",
TRUE ~ ""
))
ggplot(plotTab, aes(y=feature, x=comparison)) +
geom_tile(aes(fill = logP)) +
geom_text(aes(label = star)) +
facet_wrap(~condition, ncol=3) +
theme(axis.text.x = element_text(angle = 90, hjust = 1, vjust = 0.5)) +
scale_fill_gradient2(low = "blue", high="red", midpoint = 0)

nmrTab <- filter(fullTab, assay == "NMR") %>%
mutate(logVal = value) %>%
mutate(Group = factor(Group, levels = c("no irAE","rheumatic irAE","other irAE")))
Try vsn transformation (not used, may introduce artefact)
nmrMat <- assays(mae)[["nmr"]]
#vsnFit <- vsn::vsnMatrix(nmrMat, minDataPointsPerStratum = 10)
#nmrMat <- predict(vsnFit, nmrMat)
vsnTab <- nmrMat %>% as_tibble(rownames = "name") %>%
pivot_longer(-name, names_to = "sampleID", values_to = "logVal")
#nmrTab <- left_join(nmrTab, vsnTab, by =c("sampleID","name"))
subTab <- filter(nmrTab, condition == "Baseline" )
subMat <- subTab %>% select(sampleID, name, logVal) %>%
pivot_wider(names_from = name, values_from = logVal) %>%
column_to_rownames("sampleID") %>% as.matrix()
pcRes <- prcomp(subMat, center = TRUE, scale. = TRUE)
pcTab <- pcRes$x %>% as_tibble(rownames = "sampleID") %>%
left_join(patAnno, by = "sampleID")
ggplot(pcTab, aes(x=PC1, y=PC2, col = Group)) +
geom_point()

ggplot(pcTab, aes(x=PC3, y=PC4, col = Group)) +
geom_point()

testTab <- pcTab %>% select(sampleID, PC1:PC20, Group) %>%
pivot_longer(-c(sampleID, Group))
resTab <- group_by(testTab, name) %>% nest() %>%
mutate(m = map(data, ~aov(lm(value ~ Group,.)))) %>%
mutate(res = map(m, broom::tidy)) %>%
unnest(res) %>%
filter(term == "Group") %>% arrange(p.value)
resTab %>% select(name, p.value) %>% filter(p.value <=0.05)
# A tibble: 2 × 2
# Groups: name [2]
name p.value
<chr> <dbl>
1 PC12 0.0132
2 PC11 0.0162
ggplot(pcTab, aes(x=PC11, y=PC12, col = Group)) +
geom_point()

resTab <- subTab %>% group_by(name) %>% nest() %>%
mutate(m = map(data, ~aov(lm(logVal ~ Group,.)))) %>%
mutate(res = map(m, broom::tidy)) %>%
unnest(res) %>%
filter(term == "Group") %>%
arrange(p.value) %>%
select(name, p.value)
resTab.sig <- filter(resTab, p.value < 0.05)
resTab.sig
# A tibble: 1 × 2
# Groups: name [1]
name p.value
<chr> <dbl>
1 Histidine 0.000554
Plot
plotTab <- filter(subTab, name %in% resTab.sig$name)
ggplot(plotTab, aes(x=Group, y=logVal)) +
geom_boxplot() + geom_point() +
facet_wrap(~name, scales = "free")

resPair.baseline <- pairwiseT(subTab, "logVal", "Group", "name")
filter(resPair.baseline, p.value < 0.05)
# A tibble: 6 × 6
feature estimate p.value group1 group2 p.adj
<chr> <dbl> <dbl> <chr> <chr> <dbl>
1 Histidine -0.00752 0.000384 no irAE rheumatic irAE 0.0127
2 Alanine -0.0248 0.0379 no irAE rheumatic irAE 0.603
3 Histidine -0.00486 0.000869 no irAE other irAE 0.0287
4 Asparagine -0.00672 0.0219 no irAE other irAE 0.362
5 Leucine -0.0107 0.0349 no irAE other irAE 0.384
6 Succinate -0.00150 0.0357 rheumatic irAE other irAE 0.857
subTab <- filter(nmrTab, condition == "Follow_Up" )
subMat <- subTab %>% select(sampleID, name, logVal) %>%
pivot_wider(names_from = name, values_from = logVal) %>%
column_to_rownames("sampleID") %>% as.matrix()
pcRes <- prcomp(subMat, center = TRUE, scale. = TRUE)
pcTab <- pcRes$x %>% as_tibble(rownames = "sampleID") %>%
left_join(patAnno, by = "sampleID")
ggplot(pcTab, aes(x=PC1, y=PC2, col = Group)) +
geom_point()

ggplot(pcTab, aes(x=PC3, y=PC4, col = Group)) +
geom_point()

testTab <- pcTab %>% select(sampleID, PC1:PC20, Group) %>%
pivot_longer(-c(sampleID, Group))
resTab <- group_by(testTab, name) %>% nest() %>%
mutate(m = map(data, ~aov(lm(value ~ Group,.)))) %>%
mutate(res = map(m, broom::tidy)) %>%
unnest(res) %>%
filter(term == "Group") %>% arrange(p.value)
resTab %>% select(name, p.value) %>% filter(p.value <=0.05)
# A tibble: 2 × 2
# Groups: name [2]
name p.value
<chr> <dbl>
1 PC11 0.00789
2 PC13 0.0341
ggplot(pcTab, aes(x=PC11, y=PC13, col = Group)) +
geom_point()

resTab <- subTab %>% group_by(name) %>% nest() %>%
mutate(m = map(data, ~aov(lm(logVal ~ Group,.)))) %>%
mutate(res = map(m, broom::tidy)) %>%
unnest(res) %>%
filter(term == "Group") %>%
arrange(p.value) %>%
select(name, p.value)
resTab.sig <- filter(resTab, p.value < 0.05)
resTab.sig
# A tibble: 2 × 2
# Groups: name [2]
name p.value
<chr> <dbl>
1 Histidine 0.0385
2 Glutamine 0.0454
Plot
plotTab <- filter(subTab, name %in% resTab.sig$name)
ggplot(plotTab, aes(x=Group, y=logVal)) +
geom_boxplot() + geom_point() +
facet_wrap(~name, scales = "free")

resPair.followup <- pairwiseT(subTab, "logVal", "Group", "name")
filter(resPair.followup, p.value < 0.05)
# A tibble: 4 × 6
feature estimate p.value group1 group2 p.adj
<chr> <dbl> <dbl> <chr> <chr> <dbl>
1 Histidine -0.00479 0.00615 no irAE rheumatic irAE 0.203
2 Glutamine 0.0350 0.0228 no irAE rheumatic irAE 0.377
3 Acetate -0.00509 0.0409 no irAE rheumatic irAE 0.450
4 Glutamine -0.0317 0.0238 rheumatic irAE other irAE 0.786
subTab <- filter(nmrTab, condition %in% c("Baseline", "Follow_Up")) %>%
select(name, Group, condition, logVal, patID) %>%
pivot_wider(names_from = condition, values_from = logVal) %>%
mutate(diffVal = Follow_Up - Baseline) %>%
filter(!is.na(diffVal))
subMat <- subTab %>% select(patID, name, diffVal) %>%
pivot_wider(names_from = name, values_from = diffVal) %>%
column_to_rownames("patID") %>% as.matrix()
pcRes <- prcomp(subMat, center = TRUE, scale. = TRUE)
pcTab <- pcRes$x %>% as_tibble(rownames = "patID") %>%
left_join(patAnno, by = "patID")
ggplot(pcTab, aes(x=PC1, y=PC2, col = Group)) +
geom_point()

ggplot(pcTab, aes(x=PC3, y=PC4, col = Group)) +
geom_point()

testTab <- pcTab %>% select(sampleID, PC1:PC20, Group) %>%
pivot_longer(-c(sampleID, Group))
resTab <- group_by(testTab, name) %>% nest() %>%
mutate(m = map(data, ~aov(lm(value ~ Group,.)))) %>%
mutate(res = map(m, broom::tidy)) %>%
unnest(res) %>%
filter(term == "Group") %>% arrange(p.value)
resTab %>% select(name, p.value) %>% filter(p.value <=0.05)
# A tibble: 9 × 2
# Groups: name [9]
name p.value
<chr> <dbl>
1 PC14 0.00146
2 PC1 0.00335
3 PC4 0.0131
4 PC3 0.0134
5 PC16 0.0217
6 PC12 0.0317
7 PC20 0.0352
8 PC7 0.0356
9 PC6 0.0446
ggplot(pcTab, aes(x=PC1, y=PC14, col = Group)) +
geom_point()

resTab <- subTab %>% group_by(name) %>% nest() %>%
mutate(m = map(data, ~aov(lm(diffVal ~ Group,.)))) %>%
mutate(res = map(m, broom::tidy)) %>%
unnest(res) %>%
filter(term == "Group") %>%
arrange(p.value) %>%
select(name, p.value)
resTab.sig <- filter(resTab, p.value < 0.05)
resTab.sig
# A tibble: 6 × 2
# Groups: name [6]
name p.value
<chr> <dbl>
1 Choline 0.0137
2 Alanine 0.0140
3 Leucine 0.0182
4 Valine 0.0238
5 Histidine 0.0277
6 Asparagine 0.0380
Plot
plotTab <- filter(subTab, name %in% resTab.sig$name)
ggplot(plotTab, aes(x=Group, y=diffVal)) +
geom_boxplot() + geom_point() +
facet_wrap(~name, scales = "free")

resPair.diff <- pairwiseT(subTab, "diffVal", "Group", "name")
filter(resPair.diff, p.value < 0.05)
# A tibble: 14 × 6
feature estimate p.value group1 group2 p.adj
<chr> <dbl> <dbl> <chr> <chr> <dbl>
1 Leucine 0.0303 0.00408 no irAE rheumatic irAE 0.0691
2 Valine 0.0229 0.00419 no irAE rheumatic irAE 0.0691
3 Histidine 0.00822 0.0114 no irAE rheumatic irAE 0.115
4 Alanine 0.0761 0.0139 no irAE rheumatic irAE 0.115
5 Choline 0.0395 0.0284 no irAE rheumatic irAE 0.188
6 Proline 0.00988 0.0411 no irAE rheumatic irAE 0.202
7 Asparagine 0.0152 0.0439 no irAE rheumatic irAE 0.202
8 Choline 0.0238 0.0280 no irAE other irAE 0.796
9 Alanine -0.0569 0.00789 rheumatic irAE other irAE 0.186
10 Glutamine -0.0330 0.0113 rheumatic irAE other irAE 0.186
11 Leucine -0.0259 0.0231 rheumatic irAE other irAE 0.231
12 Tyrosine -0.00631 0.0280 rheumatic irAE other irAE 0.231
13 Glutamate -0.0271 0.0447 rheumatic irAE other irAE 0.259
14 Valine -0.0183 0.0471 rheumatic irAE other irAE 0.259
resPair.cba <- bind_rows(
resPair.baseline %>% mutate(condition = "Baseline"),
resPair.followup %>% mutate(condition = "Follow_Up"),
resPair.diff %>% mutate(condition = "Follow_Up - Baseline")
)
plotTab <- mutate(resPair.cba,
comparison = paste0(group2, " ~ ", group1),
logP = -log10(p.value)*sign(estimate),
star = case_when(
p.value <= 0.01 ~ "**",
p.value <= 0.05 ~ "*",
TRUE ~ ""
))
ggplot(plotTab, aes(y=feature, x=comparison)) +
geom_tile(aes(fill = logP)) +
geom_text(aes(label = star)) +
facet_wrap(~condition, ncol=3) +
theme(axis.text.x = element_text(angle = 90, hjust = 1, vjust = 0.5)) +
scale_fill_gradient2(low = "blue", high="red", midpoint = 0)

cbaTab <- filter(fullTab, assay == "CBA") %>%
mutate(logVal = glog2(value)) %>%
mutate(Group2 = ifelse(Group == "no irAE", Group, "irAE")) %>%
mutate(Group2 = factor(Group2, levels = c("no irAE","irAE")))
patAnno <- mutate(patAnno, Group2 = ifelse(Group == "no irAE", Group, "irAE"))
subTab <- filter(cbaTab, condition == "Baseline" )
subMat <- subTab %>% select(sampleID, name, logVal) %>%
pivot_wider(names_from = name, values_from = logVal) %>%
column_to_rownames("sampleID") %>% as.matrix()
pcRes <- prcomp(subMat, center = TRUE, scale. = TRUE)
pcTab <- pcRes$x %>% as_tibble(rownames = "sampleID") %>%
left_join(patAnno, by = "sampleID")
ggplot(pcTab, aes(x=PC1, y=PC2, col = Group2)) +
geom_point()

ggplot(pcTab, aes(x=PC3, y=PC4, col = Group2)) +
geom_point()

testTab <- pcTab %>% select(sampleID, PC1:PC20, Group2) %>%
pivot_longer(-c(sampleID, Group2))
resTab <- group_by(testTab, name) %>% nest() %>%
mutate(m = map(data, ~aov(lm(value ~ Group2,.)))) %>%
mutate(res = map(m, broom::tidy)) %>%
unnest(res) %>%
filter(term == "Group2") %>% arrange(p.value)
resTab %>% select(name, p.value) %>% filter(p.value <= 0.05)
# A tibble: 3 × 2
# Groups: name [3]
name p.value
<chr> <dbl>
1 PC3 0.00923
2 PC4 0.0141
3 PC10 0.0423
ggplot(pcTab, aes(x=PC3, y=PC4, col = Group2)) +
geom_point()

resTab <- subTab %>% group_by(name) %>% nest() %>%
mutate(m = map(data, ~aov(lm(logVal ~ Group2,.)))) %>%
mutate(res = map(m, broom::tidy)) %>%
unnest(res) %>%
filter(term == "Group2") %>%
arrange(p.value) %>%
select(name, p.value)
resTab.sig <- filter(resTab, p.value < 0.05)
resTab.sig
# A tibble: 3 × 2
# Groups: name [3]
name p.value
<chr> <dbl>
1 MCP-1 0.0104
2 IL-18 0.0153
3 IL-17A 0.0480
Plot
plotTab <- filter(subTab, name %in% resTab.sig$name)
ggplot(plotTab, aes(x=Group2, y=logVal)) +
geom_boxplot(outlier.shape = NA) + ggbeeswarm::geom_quasirandom(aes(col=Group)) +
facet_wrap(~name, scales = "free")

resPair.baseline <- pairwiseT(subTab, "logVal", "Group2", "name")
#filter(resPair.baseline, p.value < 0.05)
subTab <- filter(cbaTab, condition == "Follow_Up" )
subMat <- subTab %>% select(sampleID, name, logVal) %>%
pivot_wider(names_from = name, values_from = logVal) %>%
column_to_rownames("sampleID") %>% as.matrix()
pcRes <- prcomp(subMat, center = TRUE, scale. = TRUE)
pcTab <- pcRes$x %>% as_tibble(rownames = "sampleID") %>%
left_join(patAnno, by = "sampleID")
ggplot(pcTab, aes(x=PC1, y=PC2, col = Group2)) +
geom_point()

ggplot(pcTab, aes(x=PC3, y=PC4, col = Group2)) +
geom_point()

testTab <- pcTab %>% select(sampleID, PC1:PC20, Group2) %>%
pivot_longer(-c(sampleID, Group2))
resTab <- group_by(testTab, name) %>% nest() %>%
mutate(m = map(data, ~aov(lm(value ~ Group2,.)))) %>%
mutate(res = map(m, broom::tidy)) %>%
unnest(res) %>%
filter(term == "Group2") %>% arrange(p.value)
resTab %>% select(name, p.value) %>% filter(p.value <=0.05)
# A tibble: 1 × 2
# Groups: name [1]
name p.value
<chr> <dbl>
1 PC15 0.0274
resTab <- subTab %>% group_by(name) %>% nest() %>%
mutate(m = map(data, ~aov(lm(logVal ~ Group2,.)))) %>%
mutate(res = map(m, broom::tidy)) %>%
unnest(res) %>%
filter(term == "Group2") %>%
arrange(p.value) %>%
select(name, p.value)
resTab.sig <- filter(resTab, p.value < 0.05)
resTab.sig
# A tibble: 3 × 2
# Groups: name [3]
name p.value
<chr> <dbl>
1 Perforin 0.0313
2 sCD40L 0.0343
3 GM-CSF 0.0376
Plot
plotTab <- filter(subTab, name %in% resTab.sig$name)
ggplot(plotTab, aes(x=Group2, y=logVal)) +
geom_boxplot(outlier.shape = NA) + ggbeeswarm::geom_quasirandom(aes(col=Group)) +
facet_wrap(~name, scales = "free")

resPair.followup <- pairwiseT(subTab, "logVal", "Group2", "name")
#filter(resPair.followup, p.value < 0.05)
subTab <- filter(cbaTab, assay == "CBA", condition %in% c("Baseline", "Follow_Up")) %>%
select(name, Group, Group2, condition, logVal, patID) %>%
pivot_wider(names_from = condition, values_from = logVal) %>%
mutate(diffVal = Follow_Up - Baseline) %>%
filter(!is.na(diffVal))
subMat <- subTab %>% select(patID, name, diffVal) %>%
pivot_wider(names_from = name, values_from = diffVal) %>%
column_to_rownames("patID") %>% as.matrix()
pcRes <- prcomp(subMat, center = TRUE, scale. = TRUE)
pcTab <- pcRes$x %>% as_tibble(rownames = "patID") %>%
left_join(patAnno, by = "patID")
ggplot(pcTab, aes(x=PC1, y=PC2, col = Group2)) +
geom_point()

ggplot(pcTab, aes(x=PC3, y=PC4, col = Group2)) +
geom_point()

testTab <- pcTab %>% select(sampleID, PC1:PC20, Group2) %>%
pivot_longer(-c(sampleID, Group2))
resTab <- group_by(testTab, name) %>% nest() %>%
mutate(m = map(data, ~aov(lm(value ~ Group2,.)))) %>%
mutate(res = map(m, broom::tidy)) %>%
unnest(res) %>%
filter(term == "Group2") %>% arrange(p.value)
resTab %>% select(name, p.value) %>% filter(p.value <=0.05)
# A tibble: 2 × 2
# Groups: name [2]
name p.value
<chr> <dbl>
1 PC4 0.000210
2 PC20 0.0448
ggplot(pcTab, aes(x=PC20, y=PC4, col = Group2)) +
geom_point()

resTab <- subTab %>% group_by(name) %>% nest() %>%
mutate(m = map(data, ~aov(lm(diffVal ~ Group2,.)))) %>%
mutate(res = map(m, broom::tidy)) %>%
unnest(res) %>%
filter(term == "Group2") %>%
arrange(p.value) %>%
select(name, p.value)
resTab.sig <- filter(resTab, p.value < 0.05)
resTab.sig
# A tibble: 1 × 2
# Groups: name [1]
name p.value
<chr> <dbl>
1 IL-18 0.00415
Plot
plotTab <- filter(subTab, name %in% resTab.sig$name)
ggplot(plotTab, aes(x=Group2, y=diffVal)) +
geom_boxplot(outlier.shape = NA) + ggbeeswarm::geom_quasirandom(aes(col=Group)) +
facet_wrap(~name, scales = "free")

resPair.diff <- pairwiseT(subTab, "diffVal", "Group2", "name")
#filter(resPair.diff, p.value < 0.05)
resPair.cba <- bind_rows(
resPair.baseline %>% mutate(condition = "Baseline"),
resPair.followup %>% mutate(condition = "Follow_Up"),
resPair.diff %>% mutate(condition = "Follow_Up - Baseline")
)
plotTab <- mutate(resPair.cba,
comparison = paste0(group2, " ~ ", group1),
logP = -log10(p.value)*sign(estimate),
star = case_when(
p.value <= 0.01 ~ "**",
p.value <= 0.05 ~ "*",
TRUE ~ ""
))
ggplot(plotTab, aes(y=feature, x=comparison)) +
geom_tile(aes(fill = logP)) +
geom_text(aes(label = star)) +
facet_wrap(~condition, ncol=3) +
theme(axis.text.x = element_text(angle = 90, hjust = 1, vjust = 0.5)) +
scale_fill_gradient2(low = "blue", high="red")

nmrTab <- filter(fullTab, assay == "NMR") %>%
mutate(logVal = value) %>%
mutate(Group2 = ifelse(Group == "no irAE", Group, "irAE")) %>%
mutate(Group2 = factor(Group2, levels = c("no irAE","irAE")))
patAnno <- mutate(patAnno, Group2 = ifelse(Group == "no irAE", Group, "irAE"))
Try vsn transformation (not used, may introduce artefact)
nmrMat <- assays(mae)[["nmr"]]
#vsnFit <- vsn::vsnMatrix(nmrMat, minDataPointsPerStratum = 10)
#nmrMat <- predict(vsnFit, nmrMat)
vsnTab <- nmrMat %>% as_tibble(rownames = "name") %>%
pivot_longer(-name, names_to = "sampleID", values_to = "logVal")
#nmrTab <- left_join(nmrTab, vsnTab, by =c("sampleID","name"))
subTab <- filter(nmrTab, condition == "Baseline" )
subMat <- subTab %>% select(sampleID, name, logVal) %>%
pivot_wider(names_from = name, values_from = logVal) %>%
column_to_rownames("sampleID") %>% as.matrix()
pcRes <- prcomp(subMat, center = TRUE, scale. = TRUE)
pcTab <- pcRes$x %>% as_tibble(rownames = "sampleID") %>%
left_join(patAnno, by = "sampleID")
ggplot(pcTab, aes(x=PC1, y=PC2, col = Group2)) +
geom_point()

ggplot(pcTab, aes(x=PC3, y=PC4, col = Group2)) +
geom_point()

testTab <- pcTab %>% select(sampleID, PC1:PC20, Group2) %>%
pivot_longer(-c(sampleID, Group2))
resTab <- group_by(testTab, name) %>% nest() %>%
mutate(m = map(data, ~aov(lm(value ~ Group2,.)))) %>%
mutate(res = map(m, broom::tidy)) %>%
unnest(res) %>%
filter(term == "Group2") %>% arrange(p.value)
resTab %>% select(name, p.value) %>% filter(p.value <=0.05)
# A tibble: 3 × 2
# Groups: name [3]
name p.value
<chr> <dbl>
1 PC11 0.0143
2 PC15 0.0166
3 PC13 0.0475
ggplot(pcTab, aes(x=PC11, y=PC15, col = Group2)) +
geom_point()

resTab <- subTab %>% group_by(name) %>% nest() %>%
mutate(m = map(data, ~aov(lm(logVal ~ Group2,.)))) %>%
mutate(res = map(m, broom::tidy)) %>%
unnest(res) %>%
filter(term == "Group2") %>%
arrange(p.value) %>%
select(name, p.value)
resTab.sig <- filter(resTab, p.value < 0.05)
resTab.sig
# A tibble: 2 × 2
# Groups: name [2]
name p.value
<chr> <dbl>
1 Histidine 0.000269
2 Asparagine 0.0379
Plot
plotTab <- filter(subTab, name %in% resTab.sig$name)
ggplot(plotTab, aes(x=Group2, y=logVal)) +
geom_boxplot(outlier.shape = NA) + ggbeeswarm::geom_quasirandom(aes(col=Group)) +
facet_wrap(~name, scales = "free")

resPair.baseline <- pairwiseT(subTab, "logVal", "Group2", "name")
#filter(resPair.baseline, p.value < 0.05)
subTab <- filter(nmrTab, condition == "Follow_Up" )
subMat <- subTab %>% select(sampleID, name, logVal) %>%
pivot_wider(names_from = name, values_from = logVal) %>%
column_to_rownames("sampleID") %>% as.matrix()
pcRes <- prcomp(subMat, center = TRUE, scale. = TRUE)
pcTab <- pcRes$x %>% as_tibble(rownames = "sampleID") %>%
left_join(patAnno, by = "sampleID")
ggplot(pcTab, aes(x=PC1, y=PC2, col = Group2)) +
geom_point()

ggplot(pcTab, aes(x=PC3, y=PC4, col = Group2)) +
geom_point()

testTab <- pcTab %>% select(sampleID, PC1:PC20, Group2) %>%
pivot_longer(-c(sampleID, Group2))
resTab <- group_by(testTab, name) %>% nest() %>%
mutate(m = map(data, ~aov(lm(value ~ Group2,.)))) %>%
mutate(res = map(m, broom::tidy)) %>%
unnest(res) %>%
filter(term == "Group2") %>% arrange(p.value)
resTab %>% select(name, p.value) %>% filter(p.value <=0.05)
# A tibble: 2 × 2
# Groups: name [2]
name p.value
<chr> <dbl>
1 PC13 0.0111
2 PC16 0.0454
ggplot(pcTab, aes(x=PC13, y=PC16, col = Group2)) +
geom_point()

resTab <- subTab %>% group_by(name) %>% nest() %>%
mutate(m = map(data, ~aov(lm(logVal ~ Group2,.)))) %>%
mutate(res = map(m, broom::tidy)) %>%
unnest(res) %>%
filter(term == "Group2") %>%
arrange(p.value) %>%
select(name, p.value)
resTab.sig <- filter(resTab, p.value < 0.1)
resTab.sig
# A tibble: 2 × 2
# Groups: name [2]
name p.value
<chr> <dbl>
1 Histidine 0.0513
2 Lactate 0.0827
Plot
plotTab <- filter(subTab, name %in% resTab.sig$name)
ggplot(plotTab, aes(x=Group2, y=logVal)) +
geom_boxplot(outlier.shape = NA) + ggbeeswarm::geom_quasirandom(aes(col=Group)) +
facet_wrap(~name, scales = "free")

resPair.followup <- pairwiseT(subTab, "logVal", "Group2", "name")
subTab <- filter(nmrTab, condition %in% c("Baseline", "Follow_Up")) %>%
select(name, Group, condition, Group2,logVal, patID) %>%
pivot_wider(names_from = condition, values_from = logVal) %>%
mutate(diffVal = Follow_Up - Baseline) %>%
filter(!is.na(diffVal))
subMat <- subTab %>% select(patID, name, diffVal) %>%
pivot_wider(names_from = name, values_from = diffVal) %>%
column_to_rownames("patID") %>% as.matrix()
pcRes <- prcomp(subMat, center = TRUE, scale. = TRUE)
pcTab <- pcRes$x %>% as_tibble(rownames = "patID") %>%
left_join(patAnno, by = "patID")
ggplot(pcTab, aes(x=PC1, y=PC2, col = Group2)) +
geom_point()

ggplot(pcTab, aes(x=PC3, y=PC4, col = Group2)) +
geom_point()

testTab <- pcTab %>% select(sampleID, PC1:PC20, Group2) %>%
pivot_longer(-c(sampleID, Group2))
resTab <- group_by(testTab, name) %>% nest() %>%
mutate(m = map(data, ~aov(lm(value ~ Group2,.)))) %>%
mutate(res = map(m, broom::tidy)) %>%
unnest(res) %>%
filter(term == "Group2") %>% arrange(p.value)
resTab %>% select(name, p.value) %>% filter(p.value <=0.05)
# A tibble: 3 × 2
# Groups: name [3]
name p.value
<chr> <dbl>
1 PC3 0.00379
2 PC20 0.0179
3 PC12 0.0201
ggplot(pcTab, aes(x=PC3, y=PC20, col = Group2)) +
geom_point()

resTab <- subTab %>% group_by(name) %>% nest() %>%
mutate(m = map(data, ~aov(lm(diffVal ~ Group2,.)))) %>%
mutate(res = map(m, broom::tidy)) %>%
unnest(res) %>%
filter(term == "Group2") %>%
arrange(p.value) %>%
select(name, p.value)
resTab.sig <- filter(resTab, p.value < 0.05)
resTab.sig
# A tibble: 3 × 2
# Groups: name [3]
name p.value
<chr> <dbl>
1 Choline 0.00564
2 Asparagine 0.0298
3 Histidine 0.0303
Plot
plotTab <- filter(subTab, name %in% resTab.sig$name)
ggplot(plotTab, aes(x=Group2, y=diffVal)) +
geom_boxplot(outlier.shape = NA) + ggbeeswarm::geom_quasirandom(aes(col=Group)) +
facet_wrap(~name, scales = "free")

resPair.diff <- pairwiseT(subTab, "diffVal", "Group2", "name")
resPair.cba <- bind_rows(
resPair.baseline %>% mutate(condition = "Baseline"),
resPair.followup %>% mutate(condition = "Follow_Up"),
resPair.diff %>% mutate(condition = "Follow_Up - Baseline")
)
plotTab <- mutate(resPair.cba,
comparison = paste0(group2, " ~ ", group1),
logP = -log10(p.value)*sign(estimate),
star = case_when(
p.value <= 0.01 ~ "**",
p.value <= 0.05 ~ "*",
TRUE ~ ""
))
ggplot(plotTab, aes(y=feature, x=comparison)) +
geom_tile(aes(fill = logP)) +
geom_text(aes(label = star)) +
facet_wrap(~condition, ncol=3) +
theme(axis.text.x = element_text(angle = 90, hjust = 1, vjust = 0.5)) +
scale_fill_gradient2(low="blue", high="red")

cbaTab <- filter(fullTab, assay == "CBA") %>%
mutate(logVal = glog2(value))
subTab <- filter(cbaTab, condition == "noMalignancy" )
subMat <- subTab %>% select(sampleID, name, logVal) %>%
pivot_wider(names_from = name, values_from = logVal) %>%
column_to_rownames("sampleID") %>% as.matrix()
pcRes <- prcomp(subMat, center = TRUE, scale. = TRUE)
pcTab <- pcRes$x %>% as_tibble(rownames = "sampleID") %>%
left_join(patAnno, by = "sampleID")
ggplot(pcTab, aes(x=PC1, y=PC2, col = Group, shape = factor(dateOfAcquisition_CBA))) +
geom_point()

ggplot(pcTab, aes(x=PC3, y=PC4, col = Group, shape = factor(dateOfAcquisition_CBA))) +
geom_point()

subTab <- filter(subTab, as.character(dateOfAcquisition_CBA) != "2022-06-08")
subMat <- subTab %>%
select(sampleID, name, logVal) %>%
pivot_wider(names_from = name, values_from = logVal) %>%
column_to_rownames("sampleID") %>% as.matrix()
pcRes <- prcomp(subMat, center = TRUE, scale. = TRUE)
pcTab <- pcRes$x %>% as_tibble(rownames = "sampleID") %>%
left_join(patAnno, by = "sampleID")
ggplot(pcTab, aes(x=PC1, y=PC2, col = Group, shape = factor(dateOfAcquisition_CBA))) +
geom_point()

ggplot(pcTab, aes(x=PC3, y=PC4, col = Group, shape = factor(dateOfAcquisition_CBA))) +
geom_point()

testTab <- pcTab %>% select(sampleID, PC1:PC20, Group) %>%
pivot_longer(-c(sampleID, Group))
resTab <- group_by(testTab, name) %>% nest() %>%
mutate(m = map(data, ~aov(lm(value ~ Group,.)))) %>%
mutate(res = map(m, broom::tidy)) %>%
unnest(res) %>%
filter(term == "Group") %>% arrange(p.value)
resTab %>% select(name, p.value) %>% filter(p.value <=0.05)
# A tibble: 1 × 2
# Groups: name [1]
name p.value
<chr> <dbl>
1 PC4 0.0222
ggplot(pcTab, aes(x=PC1, y=PC4, col = Group, shape = factor(dateOfAcquisition_CBA))) +
geom_point()

resTab <- subTab %>% group_by(name) %>% nest() %>%
mutate(m = map(data, ~car::Anova(lm(logVal ~ Group,.)))) %>%
mutate(res = map(m, broom::tidy)) %>%
unnest(res) %>%
filter(term == "Group") %>%
arrange(p.value) %>%
select(name, p.value)
resTab.sig <- filter(resTab, p.value < 0.05)
resTab.sig
# A tibble: 3 × 2
# Groups: name [3]
name p.value
<chr> <dbl>
1 IL-12p70 0.0317
2 sCD40L 0.0456
3 IL-33 0.0458
Plot
plotTab <- filter(subTab, name %in% resTab.sig$name)
ggplot(plotTab, aes(x=Group, y=logVal)) +
geom_boxplot(outlier.shape = NA) + ggbeeswarm::geom_quasirandom(aes(col = Group)) +
facet_wrap(~name, scales = "free")

nmrTab <- filter(fullTab, assay == "NMR") %>%
mutate(logVal = value)
Try vsn transformation
nmrMat <- assays(mae)[["nmr"]]
#vsnFit <- vsn::vsnMatrix(nmrMat, minDataPointsPerStratum = 10)
#nmrMat <- predict(vsnFit, nmrMat)
vsnTab <- nmrMat %>% as_tibble(rownames = "name") %>%
pivot_longer(-name, names_to = "sampleID", values_to = "logVal")
#nmrTab <- left_join(nmrTab, vsnTab, by =c("sampleID","name"))
subTab <- filter(nmrTab, condition == "noMalignancy" )
subMat <- subTab %>% select(sampleID, name, logVal) %>%
pivot_wider(names_from = name, values_from = logVal) %>%
column_to_rownames("sampleID") %>% as.matrix()
pcRes <- prcomp(subMat, center = TRUE, scale. = TRUE)
pcTab <- pcRes$x %>% as_tibble(rownames = "sampleID") %>%
left_join(patAnno, by = "sampleID")
ggplot(pcTab, aes(x=PC1, y=PC2, col = Group)) +
geom_point()

ggplot(pcTab, aes(x=PC3, y=PC4, col = Group)) +
geom_point()

testTab <- pcTab %>% select(sampleID, PC1:PC20, Group) %>%
pivot_longer(-c(sampleID, Group))
resTab <- group_by(testTab, name) %>% nest() %>%
mutate(m = map(data, ~aov(lm(value ~ Group,.)))) %>%
mutate(res = map(m, broom::tidy)) %>%
unnest(res) %>%
filter(term == "Group") %>% arrange(p.value)
resTab %>% select(name, p.value) %>% filter(p.value <=0.05)
# A tibble: 3 × 2
# Groups: name [3]
name p.value
<chr> <dbl>
1 PC2 0.0000203
2 PC4 0.000605
3 PC3 0.0103
ggplot(pcTab, aes(x=PC2, y=PC4, col = Group)) +
geom_point()

resTab <- subTab %>% group_by(name) %>% nest() %>%
mutate(m = map(data, ~aov(lm(logVal ~ Group,.)))) %>%
mutate(res = map(m, broom::tidy)) %>%
unnest(res) %>%
filter(term == "Group") %>%
arrange(p.value) %>%
select(name, p.value)
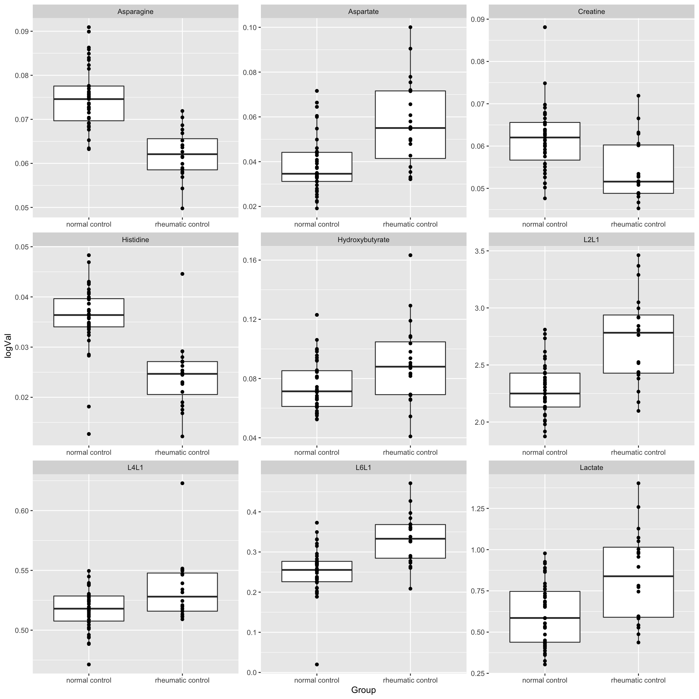
resTab.sig <- filter(resTab, p.value < 0.05)
resTab.sig
# A tibble: 9 × 2
# Groups: name [9]
name p.value
<chr> <dbl>
1 Asparagine 0.00000000158
2 Histidine 0.0000000241
3 L2L1 0.00000152
4 L6L1 0.00000904
5 Aspartate 0.0000500
6 Lactate 0.000381
7 Creatine 0.000594
8 L4L1 0.00429
9 Hydroxybutyrate 0.0125
Plot
plotTab <- filter(subTab, name %in% resTab.sig$name)
ggplot(plotTab, aes(x=Group, y=logVal)) +
geom_boxplot() + geom_point() +
facet_wrap(~name, scales = "free")

cbaTab <- filter(fullTab, assay == "CBA") %>%
mutate(logVal = glog2(value)) %>%
mutate(Group = factor(Group, levels = c("no irAE","rheumatic irAE","other irAE"))) %>%
filter(Group != "noMalignancy")
testTab <- cbaTab %>% select(name, logVal, condition, Group, patID) %>%
pivot_wider(names_from = condition, values_from = logVal) %>%
filter(!is.na(Baseline), !is.na(Follow_Up))
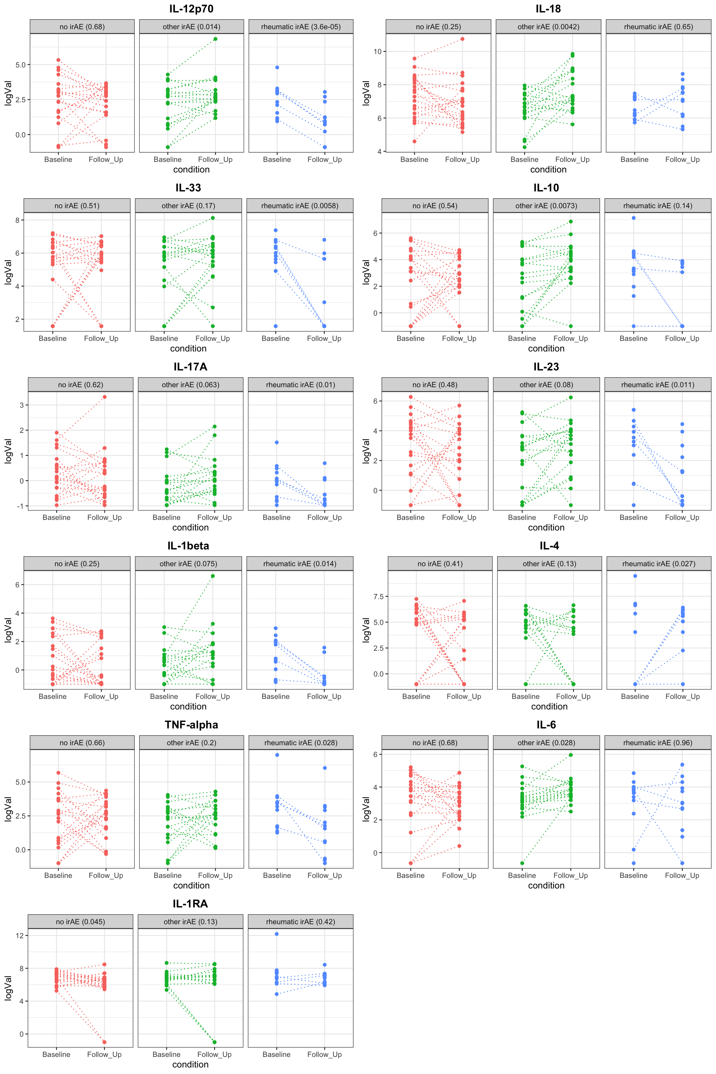
resTab <- group_by(testTab, name, Group) %>% nest() %>%
mutate(m = map(data, ~t.test(.$Baseline, .$Follow_Up, paired = TRUE))) %>%
mutate(res = map(m, broom::tidy)) %>%
unnest(res) %>% select(name,Group, estimate, p.value) %>%
arrange(p.value)
P-value heatmap
plotTab <- mutate(resTab,
logP = -log10(p.value)*sign(estimate),
star = case_when(
p.value <= 0.01 ~ "**",
p.value <= 0.05 ~ "*",
TRUE ~ ""
))
ggplot(plotTab, aes(y=Group, x=name)) +
geom_tile(aes(fill = logP)) +
geom_text(aes(label = star)) +
theme(axis.text.x = element_text(angle = 90, hjust = 1, vjust = 0.5)) +
scale_fill_gradient2(low="blue", high="red")

Plot individual associations
resTab.sig <- filter(resTab, p.value <=0.05)
pList <- lapply(unique(resTab.sig$name), function(nn) {
pTab <- filter(resTab, name ==nn)
plotTab <- filter(cbaTab, name ==nn) %>%
left_join(pTab, by = c("name","Group")) %>%
mutate(title = sprintf("%s (%s)", Group, formatC(p.value, digits = 2)))
ggplot(plotTab, aes(x=condition, y=logVal, col = title)) +
geom_point() +
geom_line(aes(group=patID), linetype = "dotted") +
facet_wrap(~title) + ggtitle(nn) +
theme_bw() +
theme(plot.title = element_text(face="bold", hjust = 0.5),
legend.position = "none")
})
cowplot::plot_grid(plotlist = pList, ncol=2)

cbaTab <- filter(fullTab, assay == "NMR") %>%
mutate(logVal = value) %>%
mutate(Group = factor(Group, levels = c("no irAE","rheumatic irAE","other irAE"))) %>%
filter(Group != "noMalignancy")
testTab <- cbaTab %>% select(name, logVal, condition, Group, patID) %>%
pivot_wider(names_from = condition, values_from = logVal) %>%
filter(!is.na(Baseline), !is.na(Follow_Up))
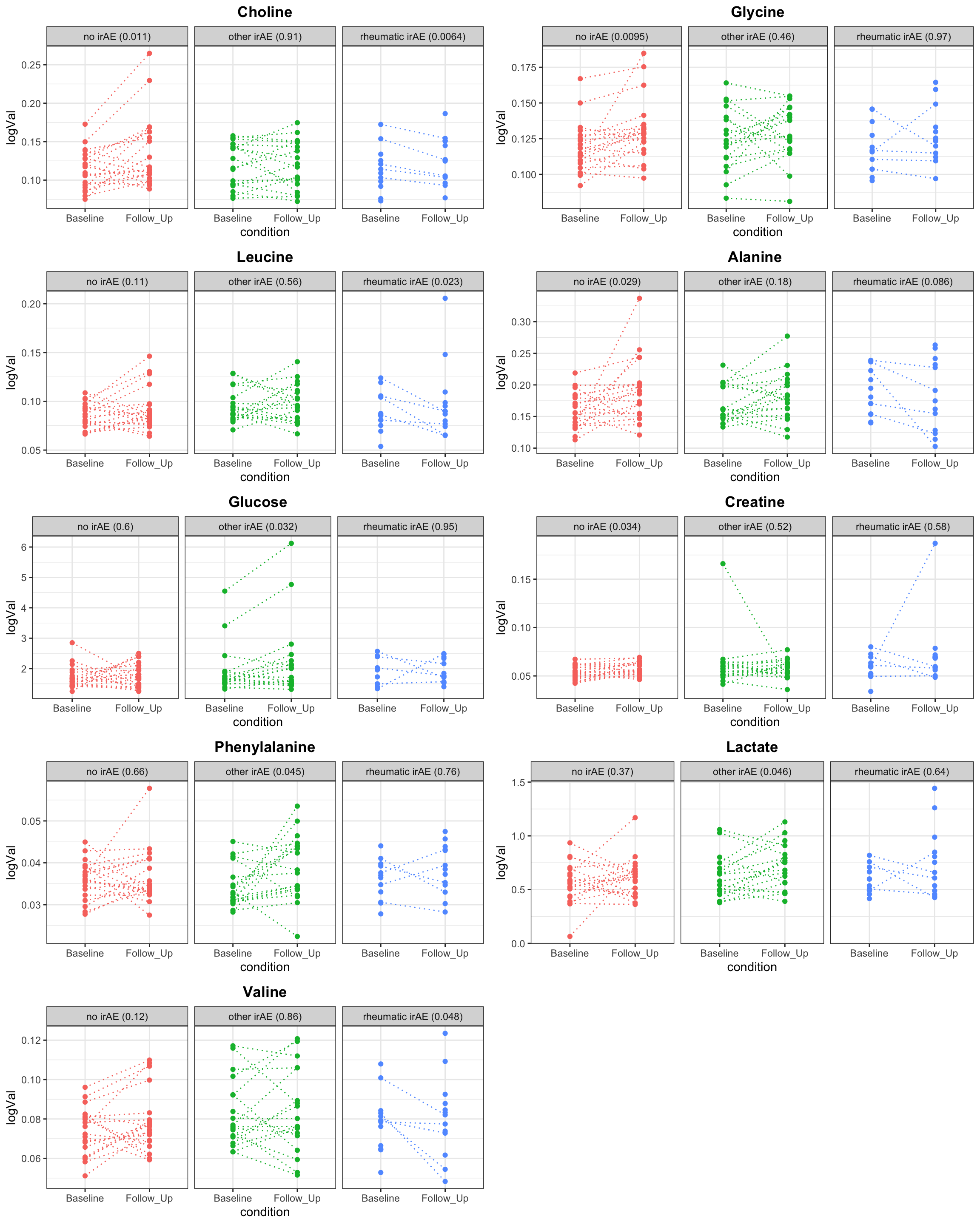
resTab <- group_by(testTab, name, Group) %>% nest() %>%
mutate(m = map(data, ~t.test(.$Baseline, .$Follow_Up, paired = TRUE))) %>%
mutate(res = map(m, broom::tidy)) %>%
unnest(res) %>% select(name,Group, estimate, p.value) %>%
arrange(p.value)
P-value heatmap
plotTab <- mutate(resTab,
logP = -log10(p.value)*sign(estimate),
star = case_when(
p.value <= 0.01 ~ "**",
p.value <= 0.05 ~ "*",
TRUE ~ ""
))
ggplot(plotTab, aes(y=Group, x=name)) +
geom_tile(aes(fill = logP)) +
geom_text(aes(label = star)) +
theme(axis.text.x = element_text(angle = 90, hjust = 1, vjust = 0.5)) +
scale_fill_gradient2(low="blue", high="red")

Plot individual associations
resTab.sig <- filter(resTab, p.value <=0.05)
pList <- lapply(unique(resTab.sig$name), function(nn) {
pTab <- filter(resTab, name ==nn)
plotTab <- filter(cbaTab, name ==nn) %>%
left_join(pTab, by = c("name","Group")) %>%
mutate(title = sprintf("%s (%s)", Group, formatC(p.value, digits = 2)))
ggplot(plotTab, aes(x=condition, y=logVal, col = title)) +
geom_point() +
geom_line(aes(group=patID), linetype = "dotted") +
facet_wrap(~title) + ggtitle(nn) +
theme_bw() +
theme(plot.title = element_text(face="bold", hjust = 0.5),
legend.position = "none")
})
cowplot::plot_grid(plotlist = pList, ncol=2)

Remove one batch to avoid batch effect
testTab <- filter(fullTab, assay == "CBA", as.character(dateOfAcquisition_CBA) != "2022-06-08") %>%
mutate(logVal = glog2(value)) %>%
filter(Group !="rheumatic control", condition %in% c("Baseline","noMalignancy")) %>%
mutate(testGroup = ifelse(condition == "Baseline", "cancer", "healthy"))
Test results
resTab <- group_by(testTab, name) %>% nest() %>%
mutate(m = map(data, ~t.test(logVal ~ testGroup, var.equal=TRUE, data = .))) %>%
mutate(res = map(m, broom::tidy)) %>%
unnest(res) %>% select(name, estimate, p.value) %>%
arrange(p.value)
resTab.sig <- filter(resTab, p.value <= 0.05)
resTab.sig
# A tibble: 3 × 3
# Groups: name [3]
name estimate p.value
<chr> <dbl> <dbl>
1 sCD40L 1.85 0.00190
2 GM-CSF 0.988 0.0269
3 IFN-alpha2 0.645 0.0427
Plot significant associations (p<=0.05)
resTab.sig <- filter(resTab, p.value <=0.05)
plotTab <- filter(testTab, name %in% resTab.sig$name)
ggplot(plotTab, aes(x=testGroup, y=logVal)) +
geom_boxplot(outlier.shape = NA) +
ggbeeswarm::geom_quasirandom(aes(col = Group)) +
theme_bw() +
theme(plot.title = element_text(face="bold", hjust = 0.5),
legend.position = "bottom") +
facet_wrap(~name, scales = "free")

testTab <- filter(fullTab, assay == "NMR") %>%
mutate(logVal = value) %>%
filter(Group !="rheumatic control", condition %in% c("Baseline","noMalignancy")) %>%
mutate(testGroup = ifelse(condition == "Baseline", "cancer", "healthy"))
Test results
resTab <- group_by(testTab, name) %>% nest() %>%
mutate(m = map(data, ~t.test(logVal ~ testGroup, var.equal=TRUE, data = .))) %>%
mutate(res = map(m, broom::tidy)) %>%
unnest(res) %>% select(name, estimate, p.value) %>%
arrange(p.value)
resTab.sig <- filter(resTab, p.value <= 0.01)
resTab.sig
# A tibble: 23 × 3
# Groups: name [23]
name estimate p.value
<chr> <dbl> <dbl>
1 Glutamine 0.0728 2.07e-23
2 Histidine -0.0167 2.23e-21
3 L6L1 0.126 3.54e-20
4 Succinate -0.00474 1.32e-17
5 Choline 0.0478 2.15e-14
6 Aspartate 0.0319 2.06e-13
7 L3L1 -0.0765 3.36e-13
8 L2L1 0.417 2.32e-12
9 Glutamate -0.0451 3.58e-12
10 Formate -0.00335 3.44e- 9
# … with 13 more rows
# ℹ Use `print(n = ...)` to see more rows
Plot significant associations (p<=0.01)
plotTab <- filter(testTab, name %in% resTab.sig$name)
ggplot(plotTab, aes(x=testGroup, y=logVal)) +
geom_boxplot(outlier.shape = NA) +
ggbeeswarm::geom_quasirandom(aes(col = Group)) +
theme_bw() +
theme(plot.title = element_text(face="bold", hjust = 0.5),
legend.position = "bottom") +
facet_wrap(~name, scales = "free", ncol = 3)

Remove one batch to avoid batch effect
testTab <- filter(fullTab, assay == "CBA", as.character(dateOfAcquisition_CBA) != "2022-06-08") %>%
mutate(logVal = glog2(value)) %>%
filter(Group %in% c("rheumatic control","rheumatic irAE"), condition %in% c("Follow_Up","noMalignancy"))
resTab <- group_by(testTab, name) %>% nest() %>%
mutate(m = map(data, ~t.test(logVal ~ Group, var.equal=TRUE, data = .))) %>%
mutate(res = map(m, broom::tidy)) %>%
unnest(res) %>% select(name, estimate, p.value) %>%
arrange(p.value)
resTab.sig <- filter(resTab, p.value <= 0.05)
resTab.sig
# A tibble: 11 × 3
# Groups: name [11]
name estimate p.value
<chr> <dbl> <dbl>
1 IL-33 2.96 0.0000255
2 IL-12p70 1.72 0.000301
3 IL-23 2.09 0.00161
4 IL-10 2.28 0.00165
5 Perforin -0.648 0.00248
6 IL-8 1.87 0.00736
7 TGF-b1 -1.32 0.00787
8 IL-17A 0.531 0.0160
9 IFN-gamma 0.795 0.0338
10 GM-CSF -1.06 0.0449
11 TNF-alpha 1.13 0.0492
Plot significant associations (p<=0.05)
plotTab <- filter(testTab, name %in% resTab.sig$name)
ggplot(plotTab, aes(x=Group, y=logVal)) +
geom_boxplot(outlier.shape = NA) +
ggbeeswarm::geom_quasirandom(aes(col = Group)) +
theme_bw() +
theme(plot.title = element_text(face="bold", hjust = 0.5),
legend.position = "bottom") +
facet_wrap(~name, scales = "free")

Remove one batch to avoid batch effect
testTab <- filter(fullTab, assay == "NMR") %>%
mutate(logVal = glog2(value)) %>%
filter(Group %in% c("rheumatic control","rheumatic irAE"), condition %in% c("Follow_Up","noMalignancy"))
resTab <- group_by(testTab, name) %>% nest() %>%
mutate(m = map(data, ~t.test(logVal ~ Group, var.equal=TRUE, data = .))) %>%
mutate(res = map(m, broom::tidy)) %>%
unnest(res) %>% select(name, estimate, p.value) %>%
arrange(p.value)
resTab.sig <- filter(resTab, p.value <= 0.05)
resTab.sig
# A tibble: 15 × 3
# Groups: name [15]
name estimate p.value
<chr> <dbl> <dbl>
1 Glutamine -0.0862 0.00000102
2 Choline -0.0673 0.0000236
3 Acetate 0.0164 0.000213
4 Formate 0.00425 0.000266
5 Creatinine -0.0441 0.000782
6 L3L1 0.0717 0.00178
7 Glucose -0.313 0.00250
8 L6L1 -0.118 0.00383
9 Glutamate 0.0509 0.00406
10 Glycerol -0.0172 0.00436
11 Threonine -0.0308 0.00439
12 Aspartate -0.0340 0.0242
13 Tyrosine 0.00579 0.0294
14 Creatine -0.0266 0.0294
15 Succinate 0.00371 0.0454
Plot significant associations (p<=0.05)
plotTab <- filter(testTab, name %in% resTab.sig$name)
ggplot(plotTab, aes(x=Group, y=logVal)) +
geom_boxplot(outlier.shape = NA) +
ggbeeswarm::geom_quasirandom(aes(col = Group)) +
theme_bw() +
theme(plot.title = element_text(face="bold", hjust = 0.5),
legend.position = "bottom") +
facet_wrap(~name, scales = "free")

Remove one batch to avoid batch effect
testTab <- filter(fullTab, assay == "CBA", as.character(dateOfAcquisition_CBA) != "2022-06-08") %>%
mutate(logVal = glog2(value)) %>%
filter(Group %in% c("rheumatic control","rheumatic irAE", "normal control", "no irAE"), condition %in% c("Follow_Up","noMalignancy")) %>%
mutate(cancer = ifelse(condition == "noMalignancy", "noCancer", "withCancer"),
irAE = ifelse(str_detect(Group, "rheumatic"),"Rheumatic", "noRheumatic")) %>%
mutate(category = paste0(cancer,"_",irAE))
resTab <- group_by(testTab, name) %>% nest() %>%
mutate(m = map(data, ~car::Anova(lm(logVal ~cancer+irAE+cancer:irAE,.)))) %>%
mutate(res = map(m, broom::tidy)) %>%
unnest(res)
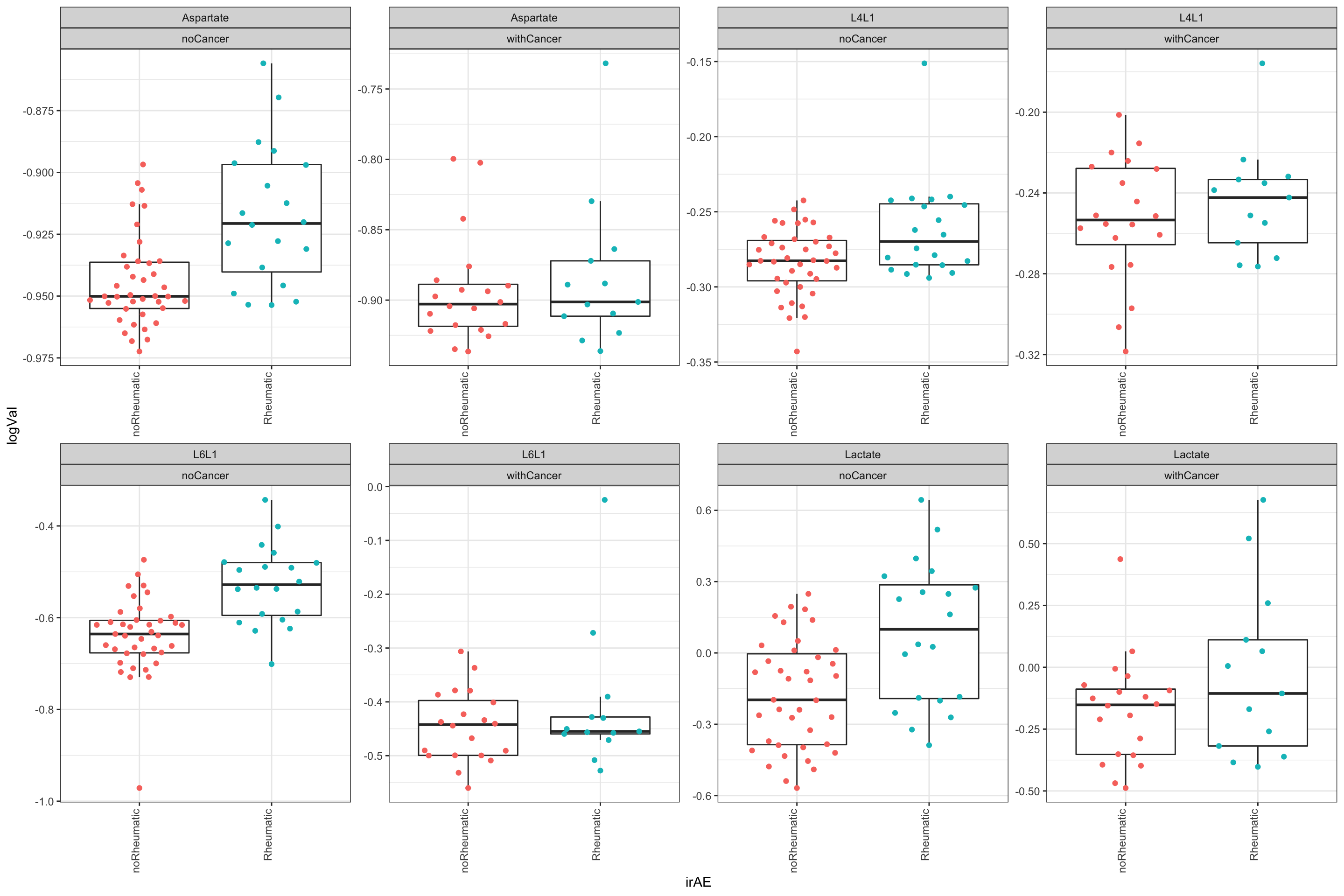
The below results show the significant interaction between cancer and rheumatic irAE on the molecular profile. A “significant interaction” means the whether the patients have cancer or irAE have non-additive effect, e.g one molecular is up-regulated in patients with irAE in cancer group but down-regulated (or unchanged) in non-cancer group.
resTab.inter <- resTab %>%
filter(term == "cancer:irAE") %>%
select(name, p.value) %>%
arrange(p.value) %>%
filter(p.value <= 0.05)
resTab.inter
# A tibble: 9 × 2
# Groups: name [9]
name p.value
<chr> <dbl>
1 IL-33 0.0000392
2 IL-12p70 0.000399
3 IL-10 0.00175
4 Perforin 0.00587
5 IL-17A 0.0134
6 TGF-b1 0.0286
7 IL-23 0.0340
8 IFN-gamma 0.0389
9 IFN-alpha2 0.0482
Plot significant associations (p<=0.05)
plotTab <- filter(testTab, name %in% resTab.inter$name)
ggplot(plotTab, aes(x=category, y=logVal)) +
geom_boxplot(outlier.shape = NA) +
ggbeeswarm::geom_quasirandom(aes(col = category)) +
theme_bw() +
theme(plot.title = element_text(face="bold", hjust = 0.5),
legend.position = "no",
axis.text.x = element_text(angle = 90, hjust = 1, vjust = 0)) +
facet_wrap(~name, scales = "free")

The below results show the molecules that show similar trend between cancer and non-cancer group, regardless of whether the patients have irAE or not.
resTab.sig <- resTab %>%
filter(term == "cancer") %>%
select(name, p.value) %>%
arrange(p.value) %>%
filter(p.value <= 0.05, !name %in% resTab.inter$name)
resTab.sig
# A tibble: 6 × 2
# Groups: name [6]
name p.value
<chr> <dbl>
1 Granzyme 0.00220
2 sCD40L 0.0177
3 IL-8 0.0291
4 IL-18 0.0421
5 sFAS 0.0470
6 GM-CSF 0.0478
Plot significant associations (p<=0.05)
plotTab <- filter(testTab, name %in% resTab.sig$name)
ggplot(plotTab, aes(x=cancer, y=logVal)) +
geom_boxplot(outlier.shape = NA) +
ggbeeswarm::geom_quasirandom(aes(col = cancer)) +
theme_bw() +
theme(plot.title = element_text(face="bold", hjust = 0.5),
legend.position = "no",
axis.text.x = element_text(angle = 90, hjust = 1, vjust = 0)) +
facet_wrap(~name+irAE, scales = "free",ncol=4)

The below results show the molecules that show similar trend between rheumatic irAE and non-irAE group, regardless of whether the patients have cancer or not.
resTab.sig <- resTab %>%
filter(term == "irAE") %>%
select(name, p.value) %>%
arrange(p.value) %>%
filter(p.value <= 0.05, !name %in% resTab.inter$name)
resTab.sig
# A tibble: 1 × 2
# Groups: name [1]
name p.value
<chr> <dbl>
1 sCD40L 0.00623
Plot significant associations (p<=0.05)
plotTab <- filter(testTab, name %in% resTab.sig$name)
ggplot(plotTab, aes(x=irAE, y=logVal)) +
geom_boxplot(outlier.shape = NA) +
ggbeeswarm::geom_quasirandom(aes(col = irAE)) +
theme_bw() +
theme(plot.title = element_text(face="bold", hjust = 0.5),
legend.position = "no",
axis.text.x = element_text(angle = 90, hjust = 1, vjust = 0)) +
facet_wrap(~name+cancer, scales = "free",ncol=4)

The same analyses as for the CBA data.
testTab <- filter(fullTab, assay == "NMR") %>%
mutate(logVal = glog2(value)) %>%
filter(Group %in% c("rheumatic control","rheumatic irAE", "normal control", "no irAE"), condition %in% c("Follow_Up","noMalignancy")) %>%
mutate(cancer = ifelse(condition == "noMalignancy", "noCancer", "withCancer"),
irAE = ifelse(str_detect(Group, "rheumatic"),"Rheumatic", "noRheumatic")) %>%
mutate(category = paste0(cancer,"_",irAE))
resTab <- group_by(testTab, name) %>% nest() %>%
mutate(m = map(data, ~car::Anova(lm(logVal ~cancer+irAE+cancer:irAE,.)))) %>%
mutate(res = map(m, broom::tidy)) %>%
unnest(res)
resTab.inter <- resTab %>%
filter(term == "cancer:irAE") %>%
select(name, p.value) %>%
arrange(p.value) %>%
filter(p.value <= 0.05)
resTab.inter
# A tibble: 6 × 2
# Groups: name [6]
name p.value
<chr> <dbl>
1 Histidine 0.0000000209
2 Asparagine 0.000616
3 Creatine 0.000923
4 L2L1 0.0132
5 L5L1 0.0359
6 Glutamine 0.0495
Plot significant associations (p<=0.05)
plotTab <- filter(testTab, name %in% resTab.inter$name)
ggplot(plotTab, aes(x=category, y=logVal)) +
geom_boxplot(outlier.shape = NA) +
ggbeeswarm::geom_quasirandom(aes(col = category)) +
theme_bw() +
theme(plot.title = element_text(face="bold", hjust = 0.5),
legend.position = "no",
axis.text.x = element_text(angle = 90, hjust = 1, vjust = 0)) +
facet_wrap(~name, scales = "free")

resTab.sig <- resTab %>%
filter(term == "cancer") %>%
select(name, p.value) %>%
arrange(p.value) %>%
filter(p.value <= 0.05, !name %in% resTab.inter$name)
resTab.sig
# A tibble: 18 × 2
# Groups: name [18]
name p.value
<chr> <dbl>
1 Choline 9.26e-15
2 L6L1 3.05e-13
3 L3L1 6.89e-12
4 Formate 2.10e-10
5 Creatinine 1.62e- 9
6 Aspartate 9.59e- 9
7 Succinate 2.07e- 7
8 Glucose 6.79e- 7
9 Acetate 7.61e- 7
10 Glutamate 2.39e- 6
11 Hydroxybutyrate 2.59e- 5
12 L4L1 4.09e- 5
13 Isoleucine 8.67e- 5
14 Threonine 5.47e- 4
15 Tyrosine 3.63e- 3
16 Valine 4.44e- 3
17 Glycine 8.65e- 3
18 LysArg 2.06e- 2
Plot significant associations (p<=0.05)
plotTab <- filter(testTab, name %in% resTab.sig$name)
ggplot(plotTab, aes(x=cancer, y=logVal)) +
geom_boxplot(outlier.shape = NA) +
ggbeeswarm::geom_quasirandom(aes(col = cancer)) +
theme_bw() +
theme(plot.title = element_text(face="bold", hjust = 0.5),
legend.position = "no",
axis.text.x = element_text(angle = 90, hjust = 1, vjust = 0)) +
facet_wrap(~name+irAE, scales = "free", ncol=4)

resTab.sig <- resTab %>%
filter(term == "irAE") %>%
select(name, p.value) %>%
arrange(p.value) %>%
filter(p.value <= 0.05, !name %in% resTab.inter$name)
resTab.sig
# A tibble: 4 × 2
# Groups: name [4]
name p.value
<chr> <dbl>
1 L6L1 0.0000419
2 Lactate 0.000267
3 Aspartate 0.00431
4 L4L1 0.00614
Plot significant associations (p<=0.05)
plotTab <- filter(testTab, name %in% resTab.sig$name)
ggplot(plotTab, aes(x=irAE, y=logVal)) +
geom_boxplot(outlier.shape = NA) +
ggbeeswarm::geom_quasirandom(aes(col = irAE)) +
theme_bw() +
theme(plot.title = element_text(face="bold", hjust = 0.5),
legend.position = "no",
axis.text.x = element_text(angle = 90, hjust = 1, vjust = 0)) +
facet_wrap(~name+cancer, scales = "free", ncol=4)

sessionInfo()
R version 4.2.0 (2022-04-22)
Platform: x86_64-apple-darwin17.0 (64-bit)
Running under: macOS Big Sur/Monterey 10.16
Matrix products: default
BLAS: /Library/Frameworks/R.framework/Versions/4.2/Resources/lib/libRblas.0.dylib
LAPACK: /Library/Frameworks/R.framework/Versions/4.2/Resources/lib/libRlapack.dylib
locale:
[1] en_US.UTF-8/en_US.UTF-8/en_US.UTF-8/C/en_US.UTF-8/en_US.UTF-8
attached base packages:
[1] stats4 stats graphics grDevices utils datasets methods
[8] base
other attached packages:
[1] forcats_0.5.1 stringr_1.4.0
[3] dplyr_1.0.9 purrr_0.3.4
[5] readr_2.1.2 tidyr_1.2.0
[7] tibble_3.1.8 ggplot2_3.3.6
[9] tidyverse_1.3.2 jyluMisc_0.1.5
[11] vsn_3.64.0 pheatmap_1.0.12
[13] MultiAssayExperiment_1.22.0 SummarizedExperiment_1.26.1
[15] Biobase_2.56.0 GenomicRanges_1.48.0
[17] GenomeInfoDb_1.32.2 IRanges_2.30.0
[19] S4Vectors_0.34.0 BiocGenerics_0.42.0
[21] MatrixGenerics_1.8.1 matrixStats_0.62.0
loaded via a namespace (and not attached):
[1] readxl_1.4.0 backports_1.4.1 fastmatch_1.1-3
[4] drc_3.0-1 workflowr_1.7.0 igraph_1.3.4
[7] shinydashboard_0.7.2 splines_4.2.0 BiocParallel_1.30.3
[10] TH.data_1.1-1 digest_0.6.29 htmltools_0.5.3
[13] fansi_1.0.3 magrittr_2.0.3 googlesheets4_1.0.0
[16] cluster_2.1.3 tzdb_0.3.0 limma_3.52.2
[19] modelr_0.1.8 sandwich_3.0-2 piano_2.12.0
[22] colorspace_2.0-3 rvest_1.0.2 haven_2.5.0
[25] xfun_0.31 crayon_1.5.1 RCurl_1.98-1.7
[28] jsonlite_1.8.0 survival_3.4-0 zoo_1.8-10
[31] glue_1.6.2 survminer_0.4.9 gtable_0.3.0
[34] gargle_1.2.0 zlibbioc_1.42.0 XVector_0.36.0
[37] DelayedArray_0.22.0 car_3.1-0 abind_1.4-5
[40] scales_1.2.0 mvtnorm_1.1-3 DBI_1.1.3
[43] relations_0.6-12 rstatix_0.7.0 Rcpp_1.0.9
[46] plotrix_3.8-2 xtable_1.8-4 preprocessCore_1.58.0
[49] km.ci_0.5-6 DT_0.23 httr_1.4.3
[52] htmlwidgets_1.5.4 fgsea_1.22.0 gplots_3.1.3
[55] RColorBrewer_1.1-3 ellipsis_0.3.2 farver_2.1.1
[58] pkgconfig_2.0.3 sass_0.4.2 dbplyr_2.2.1
[61] utf8_1.2.2 labeling_0.4.2 tidyselect_1.1.2
[64] rlang_1.0.4 later_1.3.0 munsell_0.5.0
[67] cellranger_1.1.0 tools_4.2.0 visNetwork_2.1.0
[70] cachem_1.0.6 cli_3.3.0 generics_0.1.3
[73] broom_1.0.0 evaluate_0.15 fastmap_1.1.0
[76] yaml_2.3.5 knitr_1.39 fs_1.5.2
[79] survMisc_0.5.6 caTools_1.18.2 mime_0.12
[82] slam_0.1-50 xml2_1.3.3 compiler_4.2.0
[85] rstudioapi_0.13 beeswarm_0.4.0 affyio_1.66.0
[88] ggsignif_0.6.3 marray_1.74.0 reprex_2.0.1
[91] bslib_0.4.0 stringi_1.7.8 highr_0.9
[94] lattice_0.20-45 Matrix_1.4-1 shinyjs_2.1.0
[97] KMsurv_0.1-5 vctrs_0.4.1 pillar_1.8.0
[100] lifecycle_1.0.1 BiocManager_1.30.18 jquerylib_0.1.4
[103] data.table_1.14.2 cowplot_1.1.1 bitops_1.0-7
[106] httpuv_1.6.5 R6_2.5.1 affy_1.74.0
[109] promises_1.2.0.1 KernSmooth_2.23-20 gridExtra_2.3
[112] vipor_0.4.5 codetools_0.2-18 MASS_7.3-58
[115] gtools_3.9.3 exactRankTests_0.8-35 assertthat_0.2.1
[118] rprojroot_2.0.3 withr_2.5.0 multcomp_1.4-19
[121] GenomeInfoDbData_1.2.8 parallel_4.2.0 hms_1.1.1
[124] grid_4.2.0 rmarkdown_2.14 carData_3.0-5
[127] googledrive_2.0.0 git2r_0.30.1 maxstat_0.7-25
[130] ggpubr_0.4.0 sets_1.0-21 lubridate_1.8.0
[133] shiny_1.7.2 ggbeeswarm_0.6.0